CS 25.1591 Take-off performance information for operations on slippery wet and contaminated runways

ED Decision 2021/015/R

(See AMC 25.1591)

(a) Supplementary take-off performance information applicable to aeroplanes operated on slippery wet runways and on runways contaminated with standing water, slush, snow, or ice may be furnished at the discretion of the applicant. If supplied, this information must include the expected performance of the aeroplane during take-off on hard-surfaced runways covered by these contaminants. If information on any one or more of the above surface conditions is not supplied, the AFM must contain a statement prohibiting take-off on surfaces that do not meet the minimum friction criteria, or contaminated surface(s) for which information is not supplied. Additional information covering operation on contaminated surfaces other than the above may be provided at the discretion of the applicant.

(b) Performance information furnished by the applicant must be contained in the AFM. The information may be used to assist operators in producing operational data and instructions for use by their flight crews when operating with contaminated runway surface conditions. The information may be established by calculation or by testing.

(c) The AFM must clearly indicate the conditions and the extent of applicability for each contaminant used in establishing the contaminated runway performance information. It must also state that actual conditions that are different from those used for establishing the contaminated runway performance information may lead to different performance.

[Amdt 25/2]

[Amdt 25/27]

AMC 25.1591 The derivation and methodology of performance information for use when taking-off from slippery wet and contaminated runways

ED Decision 2021/015/R

1.0 Purpose

This AMC provides information, guidelines, recommendations, and acceptable means of compliance for use by applicants in the production of performance information for aeroplanes when taking off from runways that are slippery wet or contaminated by standing water, slush, snow, and ice.

2.0 Technical Limitations of Data

The methodology specified in this AMC provides one acceptable means of compliance with the provisions of CS 25.1591. In general it does not require aeroplane testing on contaminated runway surfaces, although such testing if carried out at the discretion of the applicant may significantly improve the quality of the result or reduce the quantity of analytical work required.

Due to the nature of naturally occurring runway contaminants and difficulties associated with measuring aeroplane performance on such surfaces, any data that is either calculated or measured is subject to limitations with regard to validity. Consequently the extent of applicability should be clearly stated.

The properties specified in this AMC for various contaminants are derived from a review of the available test and research data and are considered to be acceptable for use by applicants. This is not an implied prohibition of data for other conditions or that other conditions do not exist.

EASA acknowledges that the observing of and reporting on the type and depth of runway surface contaminants (water, slush, dry snow, wet snow) is limited. This information may not be accurately and timely relayed to the flight crew. Furthermore, shallow depths of contaminants do not generally reduce wheel braking friction below that of a wet runway, except in unfavourable circumstances where lower than expected runway condition codes (RWYCCs) are reported (see AMC 25.1592). In line with International Civil Aviation Organization (ICAO) and Federal Aviation Administration (FAA) standards, EASA considers a depth of more than 3 mm for loose contaminant accountability in take-off performance assessments a reasonable lower threshold. If the depth of such loose contaminant is lower than 3 mm, or if there is a thin layer of frost, the runway is considered wet, for which this AMC 25.1591 does not apply.

It is intended that the use of aeroplane performance data for contaminated runway conditions produced in accordance with CS 25.1591 should include recommendations associated with the operational use of the data. Where possible, this operational guidance should be provided by the applicant or its production co-ordinated with the applicant to ensure that its use remains valid.

Operators are expected to make careful and conservative judgments in selecting the appropriate performance data to use for operations on contaminated runways. Particular attention should be paid to the presence of any contaminant in the critical high speed portion of the runway. For takeoff, it may be appropriate to use different contaminant types or depths for the takeoff and the accelerate-stop portions. For example, it may be appropriate to use a greater contaminant depth or a contaminant type that has a more detrimental effect on acceleration for the takeoff portion than for the accelerate-stop portion of the takeoff analysis.

In considering the maximum depth of runway contaminants it may be necessary to take account of the maximum depth for which the engine air intakes have been shown to be free of ingesting hazardous quantities of water in accordance with CS 25.1091(d)(2).

3.0 Standard Assumptions

Due to the wide variation in possible conditions when operating on contaminated runways and the limitations inherent in representing the effects of these conditions analytically, it is not possible to produce performance data that will precisely correlate with each specific operation on a contaminated surface. Instead, the performance data should be determined for a standardised set of conditions that will generally and conservatively represent the variety of contaminated runway conditions occurring in service.

It should be assumed that:

             the contaminant is spread over the entire runway surface to an even depth (although rutting, for example, may have taken place).

             the contaminant is of a uniform specific gravity.

             where the contaminant has been sanded, graded (mechanically levelled) or otherwise treated before use, that it has been done in accordance with agreed national procedures.

4.0 Definitions

The following definitions are a subset of the runway surface condition descriptors for which a representative take‑off performance model may be derived using the methods contained in this AMC.

4.1 Frost

Ice crystals formed from airborne moisture on a surface whose temperature is below freezing. Frost differs from ice in that frost crystals grow independently and, therefore, have a more granular texture.

Note 1: ‘below freezing’ refers to air temperature equal to or lower than the freezing point of water (0 C/32°F).

Note 2: under certain conditions, frost can render the runway surface very slippery, which should then be appropriately reported as ‘reduced braking action’.

4.1.a Standing water

Water of a depth greater than 3mm.

Note: a surface condition where there is a layer of water of 3 mm or less is considered wet, for which this AMC 25.1591 is not applicable.

4.2 Slush

Snow that is so water-saturated that water will drain from it when a handful is picked up or will splatter if stepped on forcefully.

4.3 Wet snow

Snow that contains enough water to be able to make a well-compacted, solid snowball, without squeezing out water.

4.4 Dry snow

Snow from which a snowball cannot readily be made.

4.5 Compacted snow

Snow that has been compacted into a solid mass such that aeroplane tyres, at operating pressures and loadings, will run on the runway surface without significant further compaction or rutting of the runway surface.

4.6 Ice

Water that has frozen or compacted snow that has transitioned into ice, in cold and dry conditions.

Note: this definition excludes wet ice that has a film of water on top of it or contains melting ice, which provides minimal braking friction and uncertain lateral control.

4.7 Slippery wet runway

A wet runway where the surface friction characteristics on a significant portion of the runway have been determined to be degraded.

4.8 Specially prepared winter runway

A runway, with a dry frozen surface of compacted snow and/or ice which has been treated with sand or grit or has been mechanically or chemically treated to improve runway friction. The runway friction is monitored and reported on a regular basis in accordance with national procedures.

4.9 Specific gravity

The density of the contaminant divided by the density of the water.

5.0 Contaminant Properties to be Considered

5.1 Range of Contaminants

The following general range of conditions or properties may by used. The list given in Table 1 is not necessarily comprehensive and other contaminants may be considered, provided account is taken of their specific properties.

Data should assume the contaminant to be uniform in properties and uniformly spread over the complete runway.

Contaminants can be classified as being:-

(i) Drag producing, for example by contaminant displacement or impingement,

(ii) Braking friction reducing, or

(iii) A combination of (i) and (ii).

Data to be produced should use the classification and assumptions of Table 1 and then the appropriate sections of the AMC as indicated.

Contaminant
Type

Range of Depths to be Considered — mm

Specific Gravity Assumed for Calculation

Is Drag Increased?

Is Braking Friction Reduced below Dry Runway Value?

Analysis Paragraphs Relevant

Standing water, Flooded runway

More than 3 up to 15

(see Note 1)

1.0

Yes

Yes

7.1, 7.3, 7.4

Slush

More than 3 up to 15

(see Note 1)

0.85

Yes

Yes

7.1, 7.3, 7.4

Wet snow
(see Note 2)

More than 3 up to 5

(see Note 1)

 

No

Yes

7.3, 7.4

Wet snow
(see Note 3)

More than 5
up to 30

0.5

Yes

Yes

7.1, 7.3, 7.4

Dry snow
(see Note 2)

More than 3
up to 10

(see Note 1)

 

No

Yes

7.3, 7.4

Dry Snow

More than 10
up to 130

0.2

Yes

Yes

7.2, 7.3, 7.4

Compacted snow at or below outside air temperature (OAT) of
-15 °C/5 °F

0

(see Note 4)

 

No

Yes

7.3, 7.4

Compacted snow above OAT of
-15 °C/5 °F

0

(see Note 4)

 

No

Yes

7.3, 7.4

Dry snow over compacted snow

More than 10
up to 130

0.2

Yes

Yes

7.2, 7.3, 7.4

Wet snow over compacted snow

(see Note 3)

More than 5 up
to 30

0.5

Yes

Yes

7.1, 7.3, 7.4

Ice (cold & dry)

0

(see Note 4)

 

No

Yes

7.3, 7.4

Slippery wet

0

(see Note 4)

 

No

Yes

7.3, 7.4

Specially prepared winter runway

(see Note 5)

0

(see Note 4)

 

No

Yes

7.3.4, 7.4

Table 1

Note 1: Runways with water depths or slush depths or snow depths of 3 mm or less are considered wet, for which this AMC 25.1591 is not applicable.

Note 2: Contaminant drag may be ignored.

Note 3: For conservatism, the same landing gear displacement and impingement drag methodology is used for wet snow as for slush.

Note 4: Where depths are given as zero, it is assumed that the aeroplane is rolling on the surface of the contaminant.

Note 5: No default model is provided for specially prepared winter runways in this AMC. Such runway surfaces are specific, and their treatment may be of variable effectiveness. The competent authority of the State of operator should approve the related procedures and methods.

5.2 Other Contaminants

Table 1 lists the contaminants commonly found.  It can be seen that the complete range of conditions or specific gravities has not been covered.  Applicants may wish to consider other, less likely, contaminants in which case such contaminants should be defined in a manner suitable for using the resulting performance data in aeroplane operations.

6.0 Derivation of Performance Information

6.1 General Conditions

Take-off performance information for contaminated runways should be determined in accordance with the assumptions given in paragraph 7.0.

Where performance information for different contaminants are similar, the most critical may be used to represent all conditions.

This AMC does not set out to provide a complete technical analytical process but rather to indicate the elements that should be addressed. Where doubt exists with regard to the accuracy of the methodology or the penalties derived, consideration should be given to validation by the use of actual aeroplane tests or other direct experimental measurements.

6.2 Take-off on a Contaminated Runway

6.2.1 Except as modified by the effects of contaminant as derived below, performance assumptions remain unchanged from those used for a wet runway, in accordance with the agreed certification standard. These include accelerate-stop distance definition, time delays, take-off distance definition, engine failure accountability and stopping means other than by wheel brakes (but see paragraph 7.4.3).

6.2.2 Where airworthiness or operational standards permit operations on contaminated runways without engine failure accountability, or using a VSTOP and a VGO instead of a single V1, these performance assumptions may be retained. In this case, a simple method to derive a single V1 and associated data consistent with the performance assumptions of paragraph 6.2.1 must also be provided in the AFM.

NOTE: VSTOP is the highest decision speed from which the aeroplane can stop within the accelerate-stop distance available. VGO is the lowest decision speed from which a continued take-off is possible within the take-off distance available.

7.0 Effects of Contaminant

7.1 Contaminant Drag — Standing Water, Slush, Wet Snow

General advice and acceptable calculation methods are given for estimating the drag force due to fluid contaminants on runways:

Total drag   Drag due to     Drag due to airframe

due to fluid   fluid displacement  +  impingement of fluid

contaminant  by tyres     spray from tyres

The essence of these simple calculation methods is the provision of appropriate values of drag coefficients below, at, and above tyre aquaplaning speed, VP (see paragraph 7.1.1):

             Paragraphs 7.1.2.a and 7.1.2.b give tyre displacement drag coefficient values for speeds below VP.

             Paragraph 7.1.3.b.2 gives tyre equivalent displacement drag coefficient values to represent the skin friction component of impingement drag for speeds below VP.

             Paragraph 7.1.4 gives the variation with speed, at and above VP, of drag coefficients representing both fluid displacement and impingement.

The applicant may account for the contaminant drag for computing the deceleration segment of the accelerate-stop distance. However, if the actual contaminant depth is less than the reported value, then, using the reported value to determine the contaminant drag will result in a higher drag level than the actual one. This will lead to a conservative take-off distance and take-off run, but also to a potentially optimistic accelerate-stop distance. It is assumed that these effects will offset each other; however, the applicant may consider:

             either using 100 % of the reported contaminant depth when determining the acceleration portion, and 50 % when considering the deceleration portion; or

             using 50 % of the reported contaminant depth when determining both the acceleration portion and the stop portion of the accelerate-stop distance; this should result in a conservative computation without being unduly penalising; the applicant should ensure that using drag for 50 % of the reported contaminant depth for computing the accelerate-stop distance is conservative for the applicant’s aeroplane configuration.

7.1.1 Aquaplaning Speed

An aeroplane will aquaplane at high speed on a surface that is contaminated by standing water, slush or wet snow. For the purposes of estimating the effect of aquaplaning on contaminant drag, the aquaplaning speed, VP, is given by -

VP = 9

where VP is the ground speed in knots and P is the tyre pressure in lb/in2.

To estimate the effect of aquaplaning on wheel-to-ground friction, the aquaplaning speed (VP) that is provided above should be factored by a coefficient of 0.85.

Predictions (Reference 5) indicate that the effect of running a wheel over a low‑density liquid contaminant containing air, e.g. slush, is to compress it such that it essentially acts as high-density contaminant. This means that there is essentially no increase in aquaplaning speed to be expected with such a lower density contaminant. For this reason, the aquaplaning speed given here is not a function of the density of the contaminant.

(See References 1, 5 and 10)

7.1.2 Displacement Drag

This is drag due to the wheel(s) running through the contaminant and doing work by displacing the contaminant sideways and forwards.

a. Single wheel.

The drag on the tyre is given by -

D = CD½V2S

Where is the density of the contamination, S is the frontal area of the tyre in the contaminant and V is the groundspeed, in consistent units.

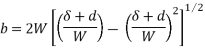
S = b x d where d is the depth of contamination and b is the effective tyre width at the contaminant surface and may be found from –

Where W is the maximum width of the tyre and is the tyre deflection, which may be obtained from tyre manufacturers’ load-deflection curves.

The value of CD may be taken as 0.75 for an isolated tyre below the aquaplaning speed, VP.

(See Reference 3)

b. Multiple wheels

A typical dual wheel undercarriage shows a drag 2.0 times the single wheel drag, including interference. For a typical four-wheel bogie layout the drag is 4 times the single wheel drag (again including interference). For a six-wheel bogie layout a reasonable conservative estimate suggests a figure of 4.2 times the single wheel drag. The drag of spray striking the landing gear structure above wheel height may also be important and should be included in the analysis for paragraph 7.1.3.b.1 but for multiple wheel bogies the factors above include centre spray impingement drag on gear structure below wheel height.

(See Reference 3)

7.1.3 Spray Impingement Drag

a. Determination of spray geometry

The sprays produced by aeroplane tyres running in a liquid contaminant such as slush or water are complex and depend on aeroplane speed, the shape and dimensions of the loaded tyre and the contaminant depth. The spray envelope should be defined, that is the height, width, shape and location of the sideways spray plumes and, in the case of a dual wheel undercarriage, the centre spray plumes. Additionally, a forward bow-wave spray will be present which may be significant in drag terms should it impinge on the aeroplane.

In order to assess the drag it is necessary to know the angles of the spray plumes so that they can be compared with the geometry of the aeroplane.  The angle at which the plumes rise is generally between 10° and 20° but it varies considerably with speed and depth of precipitation and to a small extent with tyre geometry.  A method for estimating the plume angles in the horizontal and vertical directions is given in References 1 and 7 and may be used in the absence of experimental evidence.  This information may be used to indicate those parts of the airframe which will be struck by spray, in particular whether the nose-wheel plume will strike the main landing gear or open wheel-wells, the wing leading edges or the engine nacelles, and whether the main-wheel plumes will strike the rear fuselage or flaps.

b. Determination of the retarding forces

Following definition of the spray envelopes, the areas of contact between the spray and the airframe can be defined and hence the spray impingement drag determined. This will be in two parts, direct interaction of the spray with the aeroplane structure and skin friction.

For smaller jet aeroplanes, typically those where the wing-to-ground height is less than 2 metres (6 feet), the methods contained in this document may not be conservative. Drag estimates should be correlated with performance measurements taken, for example, during water trough tests for engine ingestion.

b.1. Drag caused by direct impact of the spray

For aeroplane designs where surface areas are exposed to direct spray impact, the resulting drag forces should be taken into account. These forces exist where a significant part of the spray flow is directed at part of the aeroplane structure at a normal or non-oblique angle. The drag, or momentum loss of the mass of fluid, so caused should be accounted for.

(See Reference 6)

b.2. Drag caused by skin friction

Reference 2 explains that the relative velocity between spray from the landing gear and wetted aeroplane components causes drag due to skin friction and provides a method for its calculation. Where more than one spray acts on the same wing or fuselage surface the skin friction forces are not cumulative and the single, higher calculated value should be used.

An alternative, simple, conservative empirical estimate of skin friction drag, which converts the skin friction drag into an equivalent displacement drag coefficient based on nose-wheel alone drag measurements, is given by

CD spray = 8 x L x 0.0025

where CD spray is to be applied to the total nose-wheel displacement area (b x d x number of wheels) and L is the wetted fuselage length in feet behind the point at which the top of the spray plume reaches the height of the bottom of the fuselage. This relation can also be used in the case of a main-wheel spray striking the rear fuselage. In the case of any one main wheel unit only the inner plume from the innermost leading wheel is involved so the relevant displacement area is half that of one main wheel.

7.1.4 Effect of Speed on Displacement and Impingement Drag Coefficients at and above Aquaplaning Speed (VP)

The drag above VP reduces to zero at lift off and one acceptable method is to reduce CD as shown in the curve in Figure 1. This relationship applies to both displacement and spray impingement drag coefficients.

Figure 1

7.2 Contaminant Drag - Dry Snow

A basic method for calculating the drag of aeroplane tyres rolling in dry snow is given herein. The method is based on the theoretical model presented in References 8 and 9, using a specific gravity of 0.2 as provided in Table 1. Only snow of specific gravity of 0.2 is selected because it represents naturally occurring snow and results in the highest drag variation with ground speed for the range of snow specific gravities that are likely to be encountered. For other snow specific gravities, the more detailed methods of Reference 8 should be used.

7.2.1 Single Tyre Drag

The total displacement drag of a tyre rolling in dry snow is presented by the following equation:

D = DC + DD

The term DC represents the drag due to the compression of the snow by the tyre. The term DD represents the drag due to the displacement of the snow particles in a vertical direction.

The drag due to snow compression for a single tyre for snow with a specific gravity of 0.2 is given by:

Tyre pressure > 100 psi

DC = 74000 bd (Newtons)

Tyre pressure 50 p 100 psi

DC = 56000 bd (Newtons)

In which:

d = snow depth in metres

b = is the tyre width at the surface in metres (see paragraph 7.1.2)

The drag due to the displacement of the snow particles in a vertical direction for a single tyre for snow with a specific gravity of 0.2 is given by:

Tyre pressure > 100 psi

 (Newtons)

Tyre pressure 50 p 100 psi

 (Newtons)

In which:

d = snow depth in metres

b = is the tyre width at the surface in metres (see paragraph 7.1.2)

Vg  = the ground speed in m/s

R = tyre radius in metres

For other snow densities DC and DD can be calculated using the method presented in Reference 8.

7.2.2 Multiple Wheels

The drag on dual tyre landing gears (found on both nose and main gears) is simply the drag of both single tyres added together. The interference effects between both tyres, found on dual tyre configurations running through slush or water, are not likely to be present when rolling over a snow covered surface. The drag originates from the vertical compaction of the snow layer. Although there is some deformation perpendicular to the tyre direction of motion, this deformation occurs mainly at or below the bottom of the rut and therefore does not affect the deformation in front of the adjacent tyre. Hence, interference effects can be ignored.

In the case of a bogie landing gear only the leading tyres have to be considered for the drag calculation, as explained in Reference 8. After the initial compression of the snow by the leading tyres, the snow in the rut becomes stronger and a higher pressure must be applied to compress the snow further. Therefore, the drag on the trailing tyres can be neglected and the drag on a bogie landing gear is assumed to be equal to that of a dual tyre configuration. All other multiple-tyre configurations can be treated in the same manner.

7.2.3 Spray Impingement Drag

Experiments have shown that the snow spray coming from the tyres is limited with only small amounts striking the airframe. The speed and the density of the snow spray are much lower than, for instance, that of water spray. Therefore, the drag due to snow impingement on the airframe can be neglected.

7.2.4 Total Landing Gear Drag

To obtain the total drag on the tyres due to snow, DC and DD for each single tyre (excluding the trailing tyres of a bogie gear) should be calculated and summed.

7.3 Braking Friction (All Contaminants)

On most contaminant surfaces the braking action of the aeroplane will be impaired. Performance data showing these effects can be based on either the minimum conservative ‘default’ values, given in Table 2 or test evidence and assumed values (see paragraph 7.3.2). In addition the applicant may optionally provide performance data as a function of aeroplane braking coefficient or wheel braking coefficient.

7.3.1 Default Values

To enable aeroplane performance to be calculated conservatively in the absence of any direct test evidence, default wheel-braking coefficient values as defined in Table 2 may be used. These values represent the maximum effective wheel-braking coefficient of a fully modulating anti-skid controlled braked wheel/tyre. For quasi modulating systems, the applicant should multiply the listed wheel-braking coefficient by 0.625, and for on-off systems, multiply the listed wheel-braking coefficient by 0.375. For the classification of anti-skid systems, the applicant should refer to AMC 25.109(c)(2). Aeroplanes without anti-skid systems should be addressed separately on a case-by-case basis.

Contaminant

Default Wheel-Braking Coefficient

Standing water and slush

where V is ground speed in knots

Note: For V greater than 85 % of the aquaplaning speed (VP), use the  = 0.05 constant. At the discretion of the applicant, the wheel‑braking coefficient as defined for runway condition codes (RWYCC) 2 in AMC 25.1592 may be applied.

Wet snow above 3 mm depth

0.16

Dry snow above 3 mm depth

0.16

Wet snow over compacted snow

0.16

Dry snow over compacted snow

0.16

Compacted snow below outside air temperature (OAT) of -15 °C

0.20

Compacted snow above OAT of
-15 °C

0.16

Ice

0.07

Slippery wet

0.16

Note: Braking Force = load on braked wheel x Default Friction Value

Table 2

Note: For a specially prepared winter runway surface no default friction value can be given due to the diversity of conditions that will apply.

(See reference 10)

7.3.2 Other Than Default Values

In developing aeroplane braking performance using either test evidence or assumed friction values other than the default values provided in Table 2, a number of other brake related aspects should be considered.  Brake efficiency should be assumed to be appropriate to the brake and anti-skid system behaviour on the contaminant under consideration or a conservative assumption can be used.  It can be assumed that wheel brake torque capability and brake energy characteristics are unaffected. Where the tyre wear state significantly affects the braking performance on the contaminated surface, it should be assumed that there is 20% of the permitted wear range remaining.

Where limited test evidence is available for a model predecessor or derivative this may be used given appropriate conservative assumptions.

7.3.3 Use of Ground Friction Measurement Devices

There is not, at present, a correlation between aircraft stopping capability and ground friction measuring devices. Hence, it is not practicable at present to determine aeroplane performance on the basis of a friction index measured by ground friction devices. Notwithstanding this lack of correlation, the applicant may optionally choose to present take-off performance data as a function of an aeroplane braking coefficient or wheel braking coefficient constant with ground speed for runways contaminated with compacted snow or ice. The responsibility for relating this data to a friction index measured by a ground friction device will fall on the operator and the competent authority of the State of operator.

7.3.4 Specially prepared winter runway surfaces

At the discretion of the applicant, take-off performance data may be provided for specially prepared winter runway surfaces. This may include icy surfaces that have been treated with sand or gravel in such a way that a significant improvement of friction may be demonstrated. The applicant should apply a reasonable margin to the observed braking action in performance computations for such surfaces, and assume wheel-braking coefficients no greater than 0.20 for fully modulating anti‑skid systems. For other anti-skid system types, this coefficient must be factored as described in Section 7.3.1. The competent authority of the State of aerodrome should approve appropriate procedures and methods in compliance with point ADR.OPS.B.036 of Annex IV (Part-ADR.OPS) of Regulation (EU) No 139/2014 (‘Aerodromes Regulation’).

7.4 Additional Considerations

7.4.1 Minimum V1

For the purpose of take-off distance determination, it has been accepted that the minimum V1 speed may be established using the VMCG value established in accordance with CS 25.149(g). As implied in paragraph 8.1.3, this may not ensure that the lateral deviation after engine failure will not exceed 30 ft on a contaminated runway.

7.4.2  Reverse Thrust

Performance information may include credit for reverse thrust where available and controllable, as described in AMC 25.109.

8.0 Presentation of Supplementary Performance Information

8.1 General

Performance information for contaminated runways, derived in accordance with the provisions of paragraphs 5.0 to 7.0, should be accompanied by appropriate statements such as:

8.1.1 Operation on runways contaminated with water, slush, snow, ice or other contaminants implies uncertainties with regard to runway friction and contaminant drag and therefore to the achievable performance and control of the aeroplane during take-off, since the actual conditions may not completely match the assumptions on which the performance information is based. Where possible, every effort should be made to ensure that the runway surface is cleared of any significant contamination.

8.1.2 The performance information assumes any runway contaminant to be of uniform depth and density.

8.1.3 The provision of performance information for contaminated runways should not be taken as implying that ground handling characteristics on these surfaces will be as good as can be achieved on dry or wet runways, in particular following engine failure, in crosswinds or when using reverse thrust.

8.1.4 The contaminated runway performance information does not in any way replace or amend the Operating Limitations and Performance Information listed in the AFM, unless otherwise stated.

8.2 Procedures

In addition to performance information appropriate to operating on a contaminated runway, the AFM should also include recommended procedures associated with this performance information. Differences in other procedures for operation of the aeroplane on a contaminated surface should also be presented, e.g., reference to crosswinds or the use of high engine powers or derates.

8.3 Take-off Data

This should be presented either as separate data appropriate to a defined runway contaminant or as incremental data based on the AFM normal dry or wet runway information.

The landing distance must be presented either directly or with the factors required by the operating manuals, with clear explanation where appropriate.

Where data is provided for a range of contaminant depths, for example greater than 3, 6, 9, 12, 15 mm, then the AFM should clearly indicate how to define data for contaminant depths within the range of contaminant depths provided.

The AFM should provide:

             the performance data for operations on contaminated runways; and

             definitions of runway surface conditions.

The AFM should state that operations are prohibited on runways with contaminant depths greater than those for which data is provided. Instructions for the use of that data should be provided in the appropriate documentation.

Where the AFM presents data using VSTOP and VGO, it must be stated in the AFM that use of this concept is acceptable only where operation under this standard is permitted.

9 References

Reference sources containing worked methods for the processes outlined in 7.1 to 7.3.3 are identified below:

1. ESDU Data Item 83042, December 1983, with Amendment A, May 1998, ‘Estimation of Spray Patterns Generated from the Side of Aircraft Tyres Running in Water or Slush’.

2. ESDU Data Item 98001, May 1998, ‘Estimation of Airframe Skin-Friction Drag due to Impingement of Tyre Spray’.

3. ESDU Data Item 90035*, November 1990, with Amendment A, October 1992, ‘Frictional and Retarding Forces on Aircraft Tyres, Part V: Estimation of Fluid Drag Forces’.

4. ESDU Memorandum No.97*, July 1998, ‘The Order of Magnitude of Drag due to Forward Spray from Aircraft Tyres’.

5. ESDU Memorandum No. 96, reissue May 2011, ‘Operations on Surfaces Covered with Slush’.

6. ESDU Memorandum No. 95, reissue October 2013, ‘Impact Forces Resulting From Wheel Generated Spray: Re-Assessment Of Existing Data’.

7. NASA Report TP-2718 ‘Measurement of Flow Rate and Trajectory of Aircraft Tire-Generated Water Spray’.

8. Van Es, G.W.H., ‘Method for Predicting the Rolling Resistance of Aircraft Tires in Dry Snow’. AIAA Journal of Aircraft, Volume 36, No.5, September-October 1999.

9.  Van Es, G.W.H., ‘Rolling Resistance of Aircraft Tires in Dry Snow’, National Aerospace Laboratory NLR, Technical Report TR-98165, Amsterdam, 1998.

10. ESDU Data Item 72008*, May 1972, ‘Frictional and retarding forces on aircraft tyres’, Part III: planning.

11. FAA AC 25-31, ‘Takeoff Performance Data for Operations on Contaminated Runways’, dated 22 December 2015.

12. ICAO Document 10064, ‘Aeroplane Performance Manual’, First Edition 2020.

* This document has been withdrawn by ESDU and is no longer available.

[Amdt 25/2]

[Amdt 25/27]

CS 25.1592 Performance information for assessing the landing distance

ED Decision 2021/015/R

(See AMC 25.1592)

(a) At the discretion of the applicant, supplementary landing performance information may be furnished for aeroplanes landing on slippery wet runways and on runways contaminated with standing water, slush, snow, or ice to be used by operators to support the dispatch of a flight. If information on any one or more of the above surface conditions is not supplied, the AFM must contain a statement that prohibits landing on surfaces that do not meet the minimum friction criteria, or contaminated surface(s) for which information is not supplied. Additional information covering operation on surface conditions other than the above may be provided at the discretion of the applicant.

(b) Landing-distance information must be furnished for assessing the landing performance at the time of arrival on dry, wet, slippery wet runways, and runways contaminated with standing water, slush, snow, or ice.

(c) Performance information that is furnished by the applicant must be contained in the AFM. The information may be established through calculation or testing.

(d) The data to be used for assessing the landing performance at the time of arrival consists of the horizontal distance from the point at which the main gear of the aeroplane is 15 m (50 ft) above the landing surface to the point where the aeroplane comes to a complete stop. This data must allow to compute the landing distance based on the following elements:

             runway condition (see AMC 25.1592),

             wind,

             ambient air temperature,

             average runway slope,

             pressure altitude,

             icing conditions,

             planned final-approach speed,

             aeroplane mass and configuration, and

             deceleration devices.

The applicant may optionally provide information on runway surface conditions and braking actions.

[Amdt No: 25/27]

AMC 25.1592 The derivation and methodology of performance information for use when landing on slippery wet and contaminated runways to support the dispatch of a flight, and landing assessment performance at the time of arrival in all runway surface conditions

ED Decision 2021/015/R

1.0 Purpose

This AMC provides information, guidelines, recommendations, and acceptable means of compliance for use by applicants in the production of landing performance information. Operators should use that landing performance information to:

             support the dispatch of a flight when planning to land on runways that are slippery wet or contaminated by standing water, slush, snow, ice, or other contaminants; and

             assess the landing performance at the time of arrival in all runway surface conditions.

2.0 Applicability of data

Appropriate landing performance data are required for dispatch and for the time-of-arrival landing performance assessments. As the variables to be considered as well as the ways in which that data is to be used vary, the landing performance data for assessing the landing performance at the time of arrival may be different from the landing performance data that are developed in accordance with CS 25.125 and provided in the aeroplane flight manual (AFM) in accordance with CS 25.1587(b).

DRY AND WET RUNWAYS: this AMC 25.1592 includes the methods for deriving the landing distance on dry and wet runways, which is intended to be used for assessing the landing performance at the time of arrival only. For assessing the preflight landing performance when planning to land on a dry or wet runway, the landing distance established in compliance with CS 25.125 should be used.

SLIPPERY WET AND CONTAMINATED RUNWAYS: the data that is derived in accordance with the method(s) included in this AMC is appropriate for assessing the landing performance at the time of arrival and for dispatch, when planning to land on a slippery wet or contaminated runway surface, provided that CS 25.125(c)(3) and CS 25.125(g) are also complied with.

Aeroplane performance data for contaminated runway conditions, which are produced in accordance with CS 25.1592, should include recommendations for their operational use. Where possible, this operational guidance should be provided by the applicant or its production should be co-ordinated with the applicant to ensure that the information is valid for use.

Operators should carefully and conservatively select the appropriate performance data to use in operations on slippery wet and contaminated runways. They should pay special attention to any contaminant being present in the critical high-speed portion of the runway.

When determining the maximum depth of runway contaminants, the applicant should also consider the maximum depth for which the engine air intakes are shown to be free of hazardous ingestion of water in accordance with CS 25.1091(d)(2).

3.0 Standard assumptions

The data for assessing the landing performance at the time of arrival should assume the expected landing performance of a trained flight crew of average skill following normal flight procedures. It should take into account the following:

             runway surface conditions/runway condition codes,

             winds,

             temperatures,

             average runway slopes,

             pressure altitudes,

             icing conditions,

             final-approach speeds,

             aeroplane weight and configuration, and

             deceleration devices used.

As the landing distances defined in CS 25.125, the landing distances to be used for time of arrival landing performance assessments are defined as the horizontal distance from the point at which the main gear of the aeroplane is 50 ft above the landing surface to the position where the aeroplane comes to a stop (see Figure 1 below).

4.0 Definitions

In addition to the terms that are defined in AMC 25.1591, the applicant should consider the following:

Runway condition code (RWYCC)

RWYCC is a number that is used in the runway condition report and describes the effect of the runway surface condition(s) on the deceleration performance and lateral control of the aeroplane (see Section 6.2 of this AMC for the classification of runway conditions).

Note: the objective of the RWYCC is to enable the flight crew to calculate the operational performance of the aeroplane. ICAO Doc 9981 ‘PROCEDURES FOR AIR NAVIGATION SERVICES (PANS) — Aerodromes’, 3rd Edition, 2020, describes procedures for determining the RWYCC.

5.0 Assumptions for landing distances

The applicant should provide landing performance data as RWYCCs for codes six through one within the approved operational envelope for landing. The applicant may decide to provide additional data for fluid contaminants (dry snow, wet snow, slush, and standing water) for the range of depths that are given in Table 2 of Section 7.0 of this AMC.

The applicant does not provide landing performance data for code zero (0) as this code does not represent a performance category. Code 0 is a condition in which flight operations should cease on the runway until the aerodrome improves the braking action.

The applicant should provide the impact of each of the parameters affecting landing distance, taking into account the following:

             approved landing configurations, including Category-III landing guidance, where approved;

             approved deceleration devices (e.g. wheel brakes, speed brakes/spoilers, and thrust reversers);

             pressure altitudes within the approved operational envelope for landing;

             weights up to the maximum take-off weight (MTOW);

             expected airspeeds at the runway threshold, including speeds up to the maximum recommended final-approach speed, considering possible speed additives for winds and icing conditions;

             temperatures within the approved operational envelope for landing;

             operational correction factors for winds within the established operational limits of the aeroplane for:

             no more than 50 % of the nominal wind components along the take-off path opposite to the direction of landing; and

             no less than 150 % of nominal wind components along the take-off path in the direction of landing;

             runway slopes within the approved operational envelope for landing; and

             icing conditions if CS 25.125(a)(2) applies.

6.0 Derivation of landing distance

The landing distance consists of three segments:

             an airborne segment,

             a transition segment, and

             a final stopping-configuration (full-braking) segment,

as shown in Figure 1.

Figure 1 — Landing-distance segments

The applicant should derive the landing distance for assessing the landing performance at dispatch, when planning to land on a dry or wet runway surface, in accordance with CS 25.125.

The applicant should derive the landing distance for assessing the landing performance at dispatch, when planning to land on a contaminated or slippery wet runway surface, in accordance with the method(s) contained in Sections 6 and 7 of this AMC.

The applicant may analytically derive the landing distance for assessing the landing performance at the time of arrival from the landing performance model that the applicant developed to show compliance with CS 25.125, modified as described in the following sections.

The applicant should make changes in the aeroplane’s configuration, speed, power, and thrust that are used to determine the landing distance for assessing the landing performance at the time of arrival using procedures that are established for operation in service. These procedures should:

             be able to be consistently executed in service by flight crews of average skill;

             include safe and reliable methods or devices; and

             allow for any time delays that may reasonably be expected in service (see Section 6.2 below).

6.1 Air distance

6.1.1 Default distance allowance

Based on this section, the applicant should establish a distance allowance for the airborne phase, which is appropriate to most aeroplanes and types of approaches.

As shown in Figure 1, ‘air distance’ is defined as the distance from an aeroplane height of 15 m (50 ft) above the landing surface to the point of the main-gear touchdown. This ‘air distance’ definition is the same as the one used for compliance with CS 25.125. However, an air distance that is determined under CS 25.125 may not be appropriate for making operational assessments of the landing performance, as it may be shorter than the distance that an average pilot is likely to achieve in normal operation.

The air distance that is used for any landing at any runway is a function of the following variables:

             runway approach guidance;

             runway slope;

             use of any aeroplane features or equipment (e.g. heads-up guidance, auto-flight systems, etc.);

             pilot technique; and

             the inherent flare characteristics of the aeroplane.

Unless the air distance that is used for compliance with CS 25.125 is representative of an average pilot flying in normal operation (see flight test demonstration below), the applicant should analytically determine the air distance that is used for operational assessments of the landing performance as ‘the distance that is traversed over a period of 7 sec at a speed of 98 % of the recommended speed above the landing threshold’. The recommended ‘speed above the landing threshold’ may also be referred to as the ‘final‑approach speed (VAPP)’. The above air distance represents a flare time of 7 sec and a touchdown speed (VTD) of 96 % of the VAPP. The VAPP should be consistent with the procedures recommended by the applicant, including any speed additives, e.g. those that may be used due to winds or icing conditions. The applicant should also provide the effects of higher speeds, to account for variations that occur in operations or are caused by the operating procedures of individual operators.

If the applicant derives the air distance directly from flight test data instead of using the analytical method described above, the flight test data should meet the following criteria:

             procedures consistent with the applicant’s recommended procedures for operation in service should be used; these procedures should address the recommended VAPP, flare initiation height, thrust/power reduction height and technique, and target pitch attitudes;

             at a height of 15 m (50 ft) above the runway surface, the aeroplane should have an airspeed not lower than the recommended VAPP; and

             the rate of descent at touchdown should be in the range of 0.3-1.2°m/sec (1‑4 ft/sec).

If the air distance is based on a time of 7 seconds at a speed of 98 % of the recommended speed above the runway threshold, this air distance is considered valid for downhill runway slopes of up to 2 % in magnitude (no credit should be taken for uphill runway slopes).

6.1.2 Steep-approach landing

The distance allowance described in Section 6.1.1 may not be appropriate for steep approaches. Therefore, this paragraph provides information for determining the air distance at a steep approach using a glide path greater than or equal to 4.5 °.

The applicant determines air distances that are achieved at steep approaches directly from flight tests performed in accordance with CS-25 Appendix Q. The applicant may use those demonstrated air distances for assessing the landing distance at dispatch and at the time of arrival, in lieu of complying with the air distances provided for in Section 6.1.1.

6.2 Transition distance

As shown in Figure 1, ‘transition distance’ is defined as ‘the distance from the point of the main-gear touchdown to the point where all deceleration devices that are used for determining the landing distance are operating. If the air distance is based on a time of 7 sec at a speed of 98 % of the recommended speed above the runway threshold, the speed at the start of the transition segment should be 96 % of the recommended speed above the runway threshold.

The applicant should determine the transition distance based on the recommended procedures for use of the approved means of deceleration, both in terms of sequencing and of cues for initiation. The applicant should also consider reasonably expected time delays.

For procedures that call for the initiation of deceleration devices at nose gear touchdown, the minimum time for each pilot action to deploy or activate a deceleration means should be the demonstrated time but no less than 1 second.

For procedures that call for the initiation of deceleration devices prior to nose gear touchdown, the minimum time for each pilot action to deploy or activate a deceleration means should be the demonstrated time plus 1 second.

For automatically deployed or activated deceleration means (e.g. auto-speedbrakes or auto‑brakes), the demonstrated time may be used with no added delay.

When determining the distance of the transition segment, as well the speed at the start of the final stopping-configuration segment, the applicant should consider the expected evolution of the braking force that is achieved over the transition distance. The evolution of the braking force should include any differences that may occur for different RWYCCs, e.g. regarding the aeroplane transition to the full-braking configuration (see Table 1 for the wheel-braking coefficient of the full-braking configuration for each runway surface condition and reported RWYCC).

RWYCC

Runway surface condition description

Wheel-braking coefficient

6

DRY

90 % of the certified value that is used to comply with CS 25.1251

5

FROST

WET (the runway surface is covered by any visible dampness or water up to, and including, 3 mm deep

SLUSH (up to, and including, 3 mm deep)

DRY SNOW (up to, and including, 3 mm deep)

WET SNOW (up to, and including, 3 mm deep)

As per the method that is defined in CS 25.109(c)

4

COMPACTED SNOW (outside air temperature of less than or equal to

-15 °C/5 °F)

0.202

3

WET (‘Slippery wet’ runway)

DRY SNOW (more than 3 mm deep)

WET SNOW (more than 3 mm deep)

DRY SNOW ON TOP OF COMPACTED SNOW (of any depth)

WET SNOW ON TOP OF COMPACTED SNOW (of any depth)

COMPACTED SNOW (outside air temperature of more than -15° C/5 °F)

0.162

2

STANDING WATER (more than 3 mm deep)

SLUSH (more than 3 mm deep)

(a) For speeds below 85 % of the aquaplaning speed3, 50 % of the wheel‑braking coefficient that is determined in accordance with CS 25.109(c), but no greater than 0.162

(b) For speeds equal to or higher than 85 % of the aquaplaning speed3, 0.052

1

ICE

0.072

0

WET ICE

WATER ON TOP OF COMPACTED SNOW

DRY SNOW OR WET SNOW ON TOP OF ICE

Not applicable (no operations in ‘RWYCC = 0’ conditions)

Table 1 — Correlation between wheel-braking coefficient and RWYCC

1 The applicant may use 100 % of the wheel-braking coefficient that is used to comply with CS 25.125 if the testing from which that braking coefficient was derived was conducted on portions of runways with operationally representative amounts of rubber contamination and paint stripes.

2 For these wheel-braking coefficients, the applicant should assume a fully modulating anti‑skid system. For quasi-modulating systems, the applicant should multiply the listed wheel-braking coefficient by 0.625. For on-off systems, the applicant should multiply the listed wheel-braking coefficient by 0.375. For the classification of anti-skid systems, refer to AMC 25.109(c)(2). The applicant should address aeroplanes without anti-skid systems separately, on a case-by-case basis.

3 The aquaplaning speed ‘VP’ may be estimated by solving the equation ‘VP = 9√?’, where ‘VP’ is the ground speed in kt and ‘P’ is the tyre pressure in lb/in2. To estimate the effect of aquaplaning on wheel-to-ground friction, the aquaplaning speed (VP) given above should be factored by a coefficient of 0.85.

6.3 Final stopping-configuration distance (Full-braking distance)

As shown in Figure 1, the final stopping-configuration (full-braking) segment begins at the end of the transition segment, where all deceleration devices that are used for determining the landing distance are operating. The full-braking segment ends at the nose gear position where the aeroplane comes to a stop.

The applicant should calculate the final stopping-configuration distance based on the wheel braking coefficient that is appropriate for the runway surface condition or RWYCC, including the effect of aquaplaning, if applicable. The applicant may use a means other than wheel brakes to determine the landing distances if that means complies with CS 25.109(e) and CS 25.109(f), except for time-of-arrival dry runway landing distances, where the applicant may consider the effects of the available reverse thrust. The applicant may take credit for using a thrust reverser if the design of that reverser fulfils the criteria of AMC 25.109(f), except for the demonstration requirements of Section 6 of this AMC. Using a thrust reverser may reduce directional controllability in combinations of crosswinds and low friction conditions. The applicant should provide to operators recommendations or guidelines for crosswind landings, including the maximum recommended crosswinds, for the RWYCCs for which landing-distance data is provided. The applicant may carry out a suitable simulation to develop these guidelines for operation on contaminated runways (see Section 7 on considering contaminant drag from loose contaminants).

6.4 Landing-distance data for dispatch

For dispatch computation, performance data for landing on a contaminated runway surface may include credit for reverse thrust in compliance with CS 25.125(c)(3) and CS 25.125(g); CS 25.125(g) requires to consider the one engine inoperative configuration. The applicant should assume that the engine fails during the landing flare. If this adversely affects the availability of a deceleration device, then the applicant, in compliance with CS 25.125(g), must compare:

(a) the normal landing distance without engine failure, using the available deceleration means factored by 1.15; and

(b) the unfactored landing distance, assuming an engine failure in the landing flare and loss of availability of any related deceleration means.

The scheduled landing distance is the longer between (a) and (b) above. Such distance is the minimum landing distance that already includes an operational factor of 1.15.

6.5 Time-of-arrival landing distance

For time-of-arrival landing distances, CS 25.125(g) does not need to be applied.

7.0 Contaminant drag — standing water, slush, wet snow

Loose contaminants result in additional contaminant drag due to the combination of the following:

             the aeroplane tyres displace the contaminant; and

             the contaminant spray is impinged upon the airframe.

Such contaminant drag is an additional force that helps decelerate the aeroplane, thus reducing the distance needed to stop the aeroplane. As the contaminant drag increases with the contaminant depth, the deeper the contaminant is, the shorter the stopping distance will be. However, the actual contaminant depth may be less than the reported depth for the following reasons:

             contaminant depths are reported in runway surface condition reports using specific depth increments;

             the procedure for reporting contaminant depths is to report the highest depth of the contaminant along the reported portion of the runway surface; contaminant depths, however, may not be uniform over the whole runway surface (or reported portion of the runway surface), therefore, areas of lower contaminant depth are likely;

             in a stable weather environment (the contaminant is not replenished on the runway), the contaminant depth is likely to decrease as successive aeroplanes use the runway displacing the contaminant; and

             contaminated conditions are reported starting from 25 % coverage in each runway third; the total coverage of the runway with significant depths of contaminant may thus be less than 10 % of the entire runway surface.

If the actual contaminant depth is lower than the reported value, using the reported value to determine the contaminant drag will result in a higher drag level than the actual one, leading to an optimistic prediction of the stopping distance. Therefore, it is recommended not to include the effect of contaminant drag when calculating the landing distances for assessing the landing performance at the time of arrival. However, if the effect of contaminant drag is included, the applicant should limit it to no more than the drag resulting from 50 % of the reported depth.

If the effect of contaminant depth is included in the landing-distance data, the applicant should provide data for up to the maximum depth of each runway contaminant, for which landing operations are permitted. When determining the maximum depth of runway contaminants, the applicant may need to consider the maximum depth for which the engine air intakes are shown to be free of hazardous ingestion of water in accordance with CS 25.1091(d)(2).

If the effect of contaminant depth is included in the landing distance data, then the applicant should provide data for the specific gravities as shown in Table 2:

Loose contaminant

Specific gravity

Standing water

1.0

Slush

0.85

Dry snow

0.2

Wet snow

0.5

Table 2 — Specific gravity of loose contaminants

For the method of determining the contaminant drag, refer to AMC 25.1591.

8.0 Presentation of supplementary performance information

8.1 General

The applicant should include in the performance information for dry, wet, slippery wet, and contaminated runways, derived in accordance with Sections 5.0-7.0 of this AMC, the following statements or equivalent ones:

             operation on runways that are contaminated with water, slush, snow, ice, or other contaminants implies uncertainties regarding runway friction and contaminant drag; therefore, the achievable performance and control of the aeroplane during landing are also uncertain as the actual conditions may not completely match the assumptions on which the performance information was based; where possible, every effort should be made to ensure that the runway surface is cleared of significant contamination;

             the performance information has been established with the assumption that any runway contaminant is of uniform depth and density; and

             ground handling characteristics on contaminated runways should not be considered equivalent to those that may be achieved on dry or wet runways, in particular following an engine failure, in presence of crosswinds, or when using reverse thrust.

8.2 Procedures

In addition to performance information for operating on contaminated runways, the applicant should include in the AFM recommended procedures associated with this performance information if such procedures are specific to the aeroplane. The applicant should also include in the AFM changes in other procedures, e.g. reference to crosswinds, to adapt them to the operation of the aeroplane on a contaminated runway.

8.3 Landing data

The applicant should present landing data:

             either as separate data appropriate to a defined runway contaminant; or

             as incremental data based on the dry or wet runway information in the AFM.

The applicant should also include information on the use of speeds higher than the reference landing speed (VREF) on landing, i.e. speeds up to the maximum recommended approach speed in addition to the VREF, as well as on the related distances. The applicant should present the landing distance either directly or along with the factors that are required by the applicable air operations regulations, including a clear explanation, where appropriate.

Where the applicant provides data for a range of contaminant depths, e.g. greater than 3, 6, 9, 12, or 15 mm, then the AFM should clearly indicate how to define data for contaminant depths within the range of the contaminant depths provided.

When for at least one runway condition, the landing distances to be used at the time of dispatch are defined by the unfactored distance that is determined with one engine assumed to be failing in the flare, the applicant should present all landing distances at the time of dispatch as factored distances in the AFM. The AFM should clearly state this to avoid double application of operational factors.

The AFM should provide:

(a) definitions of runway surface conditions;

(b) the performance data for operations on contaminated runways;

(c) landing distances on contaminated runways;

(d) data with no reverse thrust credit to:

(1) cover operational restrictions on the use of reversers; and

(2) make flight crew aware of the importance of reverser selection on contaminated runways;

(e) the procedures and assumptions that are used to develop the performance data; and

(f) the appropriate statements as per Section 8.1 of this AMC.

The applicant should provide instructions on the use of the data in the appropriate operational documentation.

9.0 References

Federal Aviation Administration (FAA) Advisory Circular (AC) 25-32, ‘Landing Performance Data for Time-of-Arrival Landing Performance Assessments’, 22 December 2015.

[Amdt No: 25/27]

CS 25.1593 Exposure to volcanic cloud hazards

ED Decision 2013/010/R

(See AMC 25.1593)

The susceptibility of aeroplane features to the effects of volcanic cloud hazards must be established.

[Amdt 25/13]

AMC 25.1593 Exposure to volcanic cloud hazards

ED Decision 2016/010/R

The aim of CS 25.1593 is to support operators by identifying and assessing airworthiness hazards associated with operations in contaminated airspace. Providing such data to operators will enable those hazards to be properly managed as part of an established management system.

Acceptable means of establishing the susceptibility of aeroplane features to the effects of volcanic clouds should include a combination of experience, studies, analysis, and/or testing of parts or sub-assemblies.

Information necessary for safe operation should be contained in the unapproved part of the flight manual, or other appropriate manual, and should be readily usable by operators in preparing a safety risk assessment as part of their overall management system.

A volcanic cloud comprises volcanic ash together with gases and other chemicals. Although the primary hazard is volcanic ash, other elements of the volcanic cloud may also be undesirable to operate through, and their effect on airworthiness should be assessed.

In determining the susceptibility of aeroplane features to the effects of volcanic clouds and the necessary information to operators, the following points should be considered:

(1) Identify the features of the aeroplane that are susceptible to airworthiness effects from volcanic clouds. These may include, but are not limited to, the following:

a. The malfunction or failure of one or more engines, leading not only to reduction or complete loss of thrust but also to failures of electrical, pneumatic, and hydraulic systems;

b. Blockage of pitot and static sensors, resulting in unreliable airspeed indications and erroneous warnings;

c. Windscreen abrasion, resulting in windscreens being rendered partially or completely opaque;

d. Fuel contamination;

e. Volcanic ash and/or toxic chemical contamination of cabin air-conditioning packs, possibly leading to loss of cabin pressurisation or noxious fumes in the cockpit and/or cabin;

f. Erosion, blockage, or malfunction of external and internal aeroplane components;

g. Volcanic cloud static discharge, leading to prolonged loss of communications; and

h. Reduced cooling efficiency of electronic components, leading to a wide range of aeroplane system failures.

(2)  The nature and severity of effects.

(3)  Details of any device or system installed on the aeroplane that can detect the presence of volcanic cloud hazards (e.g. volcanic ash (particulate) sensors or volcanic gas sensors).

(4) The effect of volcanic ash on operations to/from contaminated aerodromes. In particular, deposits of volcanic ash on a runway can lead to degraded braking performance, most significantly if the ash is wet.

(5) The related pre-flight, in-flight and post-flight precautions to be observed by the operator including any necessary amendments to Aircraft Operating Manuals, Aircraft Maintenance Manuals, Master Minimum Equipment List/Dispatch Deviation, or equivalents required to support the operator. Pre-flight precautions should include clearly defined procedures for the removal of any volcanic ash found on parked aeroplanes.

(6) The recommended continuing airworthiness inspections associated with operations in volcanic cloud contaminated airspace and to/from volcanic ash-contaminated aerodromes; this may take the form of Instructions for Continued Airworthiness or other advice.

[Amdt 25/13]

[Amdt 25/18]