ED Decision 2003/2/RM
(a) Loads and equilibrium. For limit ground loads –
(1) Limit ground loads obtained under this Subpart are considered to be external forces applied to the aeroplane structure; and
(2) In each specified ground load condition, the external loads must be placed in equilibrium with the linear and angular inertia loads in a rational or conservative manner.
(b) Critical centres of gravity. The critical centres of gravity within the range for which certification is requested must be selected so that the maximum design loads are obtained in each landing gear element. Fore and aft, vertical, and lateral aeroplane centres of gravity must be considered. Lateral displacements of the centre of gravity from the aeroplane centreline which would result in main gear loads not greater than 103% of the critical design load for symmetrical loading conditions may be selected without considering the effects of these lateral centre of gravity displacements on the loading of the main gear elements, or on the aeroplane structure provided –
(1) The lateral displacement of the centre of gravity results from random passenger or cargo disposition within the fuselage or from random unsymmetrical fuel loading or fuel usage; and
(2) Appropriate loading instructions for random disposable loads are included under the provisions of CS 25.1583(c)(1) to ensure that the lateral displacement of the centre of gravity is maintained within these limits.
(c) Landing gear dimension data. Figure 1 of Appendix A contains the basic landing gear dimension data.
CS 25.473 Landing load conditions and assumptions
ED Decision 2003/2/RM
(a)For the landing conditions specified in CS 25.479 to 25.485, the aeroplane is assumed to contact the ground:
(1)In the attitudes defined in CS 25.479 and CS 25.481.
(2) With a limit descent velocity of 3·05 m/sec (10 fps) at the design landing weight (the maximum weight for landing conditions at maximum descent velocity); and
(3) With a limit descent velocity of 1·83 m/sec (6 fps) at the design take-off weight (the maximum weight for landing conditions at a reduced descent velocity).
(4) The prescribed descent velocities may be modified if it is shown that the aeroplane has design features that make it impossible to develop these velocities.
(b) Aeroplane lift, not exceeding aeroplane weight, may be assumed, unless the presence of systems or procedures significantly affects the lift.
(c) The method of analysis of aeroplane and landing gear loads must take into account at least the following elements:
(1) Landing gear dynamic characteristics.
(2) Spin-up and spring back.
(3) Rigid body response.
(4) Structural dynamic response of the airframe, if significant.
(d) The landing gear dynamic characteristics must be validated by tests as defined in CS 25.723(a).
(e) The coefficient of friction between the tyres and the ground may be established by considering the effects of skidding velocity and tyre pressure. However, this coefficient of friction need not be more than 0·8.
CS 25.477 Landing gear arrangement
ED Decision 2003/2/RM
CS 25.479 to 25.485 apply to aeroplanes with conventional arrangements of main and nose gears, or main and tail gears, when normal operating techniques are used.
CS 25.479 Level landing conditions
ED Decision 2003/2/RM
(a) In the level attitude, the aeroplane is assumed to contact the ground at forward velocity components, ranging from VL1 to 1·25 VL2 parallel to the ground under the conditions prescribed in CS 25.473 with:
(1) VL1 equal to VS0(TAS) at the appropriate landing weight and in standard sea-level conditions; and
(2) VL2, equal to VS0(TAS) at the appropriate landing weight and altitudes in a hot day temperature of 22.8°C (41°F) above standard.
(3) The effects of increased contact speed must be investigated if approval of downwind landings exceeding 19 km/h (10 knots) is requested.
(b) For the level landing attitude for aeroplanes with tail wheels, the conditions specified in this paragraph must be investigated with the aeroplane horizontal reference line horizontal in accordance with Figure 2 of Appendix A of CS-25.
(c) For the level landing attitude for aeroplanes with nose wheels, shown in Figure 2 of Appendix A of CS-25, the conditions specified in this paragraph must be investigated assuming the following attitudes:
(1) An attitude in which the main wheels are assumed to contact the ground with the nose wheel just clear of the ground; and
(2) If reasonably attainable at the specified descent and forward velocities an attitude in which the nose and main wheels are assumed to contact the ground simultaneously.
(d) In addition to the loading conditions prescribed in sub-paragraph (a) of this paragraph, but with maximum vertical ground reactions calculated from paragraph (a), the following apply:
(1) The landing gear and directly affected structure must be designed for the maximum vertical ground reaction combined with an aft acting drag component of not less than 25% of this maximum vertical ground reaction.
(2) The most severe combination of loads that are likely to arise during a lateral drift landing must be taken into account. In absence of a more rational analysis of this condition, the following must be investigated:
(i) A vertical load equal to 75% of the maximum ground reaction of CS 25.473(a)(2) must be considered in combination with a drag and side load of 40% and 25%, respectively, of that vertical load.
(ii) The shock absorber and tyre deflections must be assumed to be 75% of the deflection corresponding to the maximum ground reaction of CS 25.473(a)(2). This load case need not be considered in combination with flat tyres.
(3) The combination of vertical and drag components is considered to be acting at the wheel axle centreline.
CS 25.481 Tail-down landing conditions
ED Decision 2003/2/RM
(a) In the tail-down attitude, the aeroplane is assumed to contact the ground at forward velocity components, ranging from VL1 to VL2, parallel to the ground under the conditions prescribed in CS 25.473 with:
(1) VL1 equal to VS0 (TAS) at the appropriate landing weight and in standard sealevel conditions; and
(2) VL2 equal to VS0 (TAS) at the appropriate landing weight and altitudes in a hot-day temperature of 22.8°C (41°F) above standard.
The combination of vertical and drag components is considered to be acting at the main wheel axle centreline.
(b) For the tail-down landing condition for aeroplanes with tail wheels, the main and tail wheels are assumed to contact the ground simultaneously, in accordance with Figure 3 of Appendix A. Ground reaction conditions on the tail wheel are assumed to act –
(1) Vertically; and
(2) Up and aft through the axle at 45° to the ground line.
(c) For the tail-down landing condition for aeroplanes with nose wheels, the aeroplane is assumed to be at an attitude corresponding to either the stalling angle or the maximum angle allowing clearance with the ground by each part of the aeroplane other than the main wheels, in accordance with Figure 3 of Appendix A, whichever is less.
CS 25.483 One-gear landing conditions
ED Decision 2003/2/RM
For the one-gear landing conditions, the aeroplane is assumed to be in the level attitude and to contact the ground on one main landing gear, in accordance with Figure 4 of Appendix A of CS-25. In this attitude –
(a) The ground reactions must be the same as those obtained on that side under CS 25.479(d)(1), and
(b) Each unbalanced external load must be reacted by aeroplane inertia in a rational or conservative manner.
CS 25.485 Side load conditions
ED Decision 2003/2/RM
In addition to CS 25.479(d)(2) the following conditions must be considered:
(a) For the side load condition, the aeroplane is assumed to be in the level attitude with only the main wheels contacting the ground, in accordance with Figure 5 of Appendix A.
(b) Side loads of 0·8 of the vertical reaction (on one side) acting inward and 0·6 of the vertical reaction (on the other side) acting outward must be combined with one-half of the maximum vertical ground reactions obtained in the level landing conditions. These loads are assumed to be applied at the ground contact point and to be resisted by the inertia of the aeroplane. The drag loads may be assumed to be zero.
CS 25.487 Rebound landing condition
ED Decision 2003/2/RM
(a) The landing gear and its supporting structure must be investigated for the loads occurring during rebound of the aeroplane from the landing surface.
(b) With the landing gear fully extended and not in contact with the ground, a load factor of 20·0 must act on the unsprung weights of the landing gear. This load factor must act in the direction of motion of the unsprung weights as they reach their limiting positions in extending with relation to the sprung parts of the landing gear.
CS 25.489 Ground handling conditions
ED Decision 2003/2/RM
Unless otherwise prescribed, the landing gear and aeroplane structure must be investigated for the conditions in CS 25.491 to 25.509 with the aeroplane at the design ramp weight (the maximum weight for ground handling conditions). No wing lift may be considered. The shock absorbers and tyres may be assumed to be in their static position.
CS 25.491 Taxi, take-off and landing roll
ED Decision 2016/010/R
(See AMC 25.415)
Within the range of appropriate ground speeds and approved weights, the aeroplane structure and landing gear are assumed to be subjected to loads not less than those obtained when the aircraft is operating over the roughest ground that may reasonably be expected in normal operation.
[Amdt 25/18]
AMC 25.491 Taxy, take-off and landing roll
ED Decision 2003/2/RM
1. PURPOSE. This AMC sets forth acceptable methods of compliance with the provisions of CS-25 dealing with the certification requirements for taxy, take-off and landing roll design loads. Guidance information is provided for showing compliance with CS 25.491, relating to structural design for aeroplane operation on paved runways and taxy-ways normally used in commercial operations. Other methods of compliance with the requirements may be acceptable.
2. RELATED CERTIFICATION SPECIFICATIONS. The contents of this AMC are considered by the Agency in determining compliance with CS 25.491. Related paragraphs are CS 25.305(c) and CS 25.235.
3. BACKGROUND.
a. All paved runways and taxy-ways have an inherent degree of surface unevenness, or roughness. This is the result of the normal tolerances of engineering standards required for construction, as well as the result of events such as uneven settlement and frost heave. In addition, repair of surfaces on an active runway or taxy-way can result in temporary ramped surfaces. Many countries have developed criteria for runway surface roughness. The Inter-national Civil Aviation Organisation (ICAO) standards are published in ICAO Annex 14.
b. In the late 1940's, as aeroplanes became larger, more flexible, and operated at higher ground speeds, consideration of dynamic loads during taxy, landing rollout, and take-off became important in aeroplane design. CS 25.235, CS 25.491 and CS 25.305(c) apply.
c. Several approaches had been taken by different manufacturers in complying with the noted regulations. If dynamic effects due to rigid body modes or airframe flexibility during taxy were not considered critical, some manufacturers used a simplified static analysis where a static inertia force was applied to the aeroplane using a load factor of 2.0 for single axle gears or 1.7 for multiple axle gears. The lower 1.7 factor was justified based on an assumption that there was a load alleviating effect resulting from rotation of the beam, on which the forward and aft axles are attached, about the central pivot point on the strut. The static load factor approach was believed to encompass any dynamic effects and it had the benefit of a relatively simple analysis.
d. As computers became more powerful and dynamic analysis methods became more sophisticated, it was found that dynamic effects sometimes resulted in loads greater than those which were predicted by the static criterion. Some manufacturers performed calculations using a series of harmonic bumps to represent a runway surface, tuning the bumps to excite various portions of the structure at a given speed. U.S. Military Standard 8862 defines amplitude and wavelengths of 1-cosine bumps intended to excite low speed plunge, pitch and wing first bending modes.
e. Some manufacturers used actual runway profile data to calculate loads. The runway profiles of the San Francisco Runway 28R or Anchorage Runway 24, which were known to cause high loads on aeroplanes and were the subject of pilot complaints until resurfaced, have been used in a series of bi-directional constant speed analytical runs to determine loads. In some cases, accelerated runs have been used, starting from several points along the runway. The profiles of those runways are described in NASA Reports CR-119 and TN D-5703. Such deterministic dynamic analyses have in general proved to be satisfactory.
f. Some manufacturers have used a statistical power spectral density (PSD) approach, especially to calculate fatigue loads. Extensive PSD runway roughness data exist for numerous world runways. The PSD approach is not considered practical for calculation of limit loads.
g. Because the various methods described above produce different results, the guidance information given in paragraphs 4, 5, and 6 of this AMC should be used when demonstrating compliance with CS 25.491.
4. RUNWAY PROFILE CONDITION.
a. Consideration of airframe flexibility and landing gear dynamic characteristics is necessary in most cases. A deterministic dynamic analysis, based on the San Francisco Runway 28R (before it was resurfaced), described in Table 1 of this AMC, is an acceptable method for compliance. As an alternative means of compliance, the San Francisco Runway 28R (before it was resurfaced) may be used with the severe bump from 1530 to 1538 feet modified per Table 2. The modifications to the bump reflect the maximum slope change permitted in ICAO Annex 14 for temporary ramps used to transition asphalt overlays to existing pavement. The points affected by this modification are outlined in Table 1.
b. Aeroplane design loads should be developed for the most critical conditions arising from taxy, take-off, and landing run. The aeroplane analysis model should include significant aeroplane rigid body and flexible modes, and the appropriate landing gear and tyre characteristics. Unless the aeroplane has design features that would result in significant asymmetric loads, only the symmetric cases need be investigated.
c. Aeroplane steady aerodynamic effects should normally be included. However, they may be ignored if their deletion is shown to produce conservative loads. Unsteady aerodynamic effects on dynamic response may be neglected.
d. Conditions should be run at the maximum take-off weight and the maximum landing weight with critical combinations of wing fuel, payload, and extremes of centre of gravity (c.g.) range. For aeroplanes with trimable stabilisers, the stabiliser should be set at the appropriate setting for take-off cases and at the recommended final approach setting for landing cases. The elevator should be assumed faired relative to the stabiliser throughout the take-off or landing run, unless other normal procedures are specified in the flight manual.
e. A series of constant speed runs should be made in both directions from 37 km/h (20 knots) up to the maximum ground speeds expected in normal operation (VR defined at maximum altitude and temperature for take-off conditions, 1.25 VL2 for landing conditions). Sufficiently small speed increments should be evaluated to assure that maximum loads are achieved. Constant speed runs should be made because using accelerated runs may not define the speed/roughness points which could produce peak dynamic loads. For maximum take-off weight cases, the analysis should account for normal take-off flap and control settings and consider both zero and maximum thrust. For maximum landing weight cases, the analysis should account for normal flap and spoiler positions following landing, and steady pitching moments equivalent to those produced by braking with a coefficient of friction of 0.3 with and without reverse thrust. The effects of automatic braking systems that reduce braking in the presence of reverse thrust may be taken into account.
5. DISCRETE LOAD CONDITION. One of the following discrete limit load conditions should be evaluated:
a. With all landing gears in contact with the ground, the condition of a vertical load equal to 1.7 times the static ground reaction should be investigated under the most adverse aeroplane loading distribution at maximum take-off weight, with and without thrust from the engines;
b. As an alternative to paragraph 5.a. above, it would be acceptable to undertake dynamic analyses under the same conditions considered in paragraph 4 of this AMC considering the aircraft response to each of the following pairs of identical and contiguous 1-cosine upwards bumps on an otherwise smooth runway:
(i) Bump wavelengths equal to the mean longitudinal distance between nose and main landing gears, or between the main and tail landing gears, as appropriate; and separately:
(ii) Bump wavelengths equal to twice this distance.
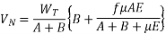
The bump height in each case should be defined as:
Where:
H = the bump height
L = the bump wavelength
A = 1.2, B = 0.023 if H and L are expressed in inches
A = 30.5, B = 0.116 if H and L are expressed in millimetres
6. COMBINED LOAD CONDITION. A condition of combined vertical, side and drag loads should be investigated for the main landing gear. In the absence of a more rational analysis a vertical load equal to 90% of the ground reaction from paragraph 5 above should be combined with a drag load of 20% of the vertical load and a side load of 20% of the vertical load. Side loads acting either direction should be considered.
7. TYRE CONDITIONS. The calculation of maximum gear loads in accordance with paragraphs 4, 5, and 6, may be performed using fully inflated tyres. For multiple wheel units, the maximum gear loads should be distributed between the wheels in accordance with the criteria of CS 25.511.
[Amdt 25/2]
ED Decision 2003/2/RM
TABLE 1
SAN FRANCISCO RUNWAY 28R
ONE TRACK
LENGTH: 3880 FEET
NUMBER OF POINTS: 1941
POINT SPACING: 2 FEET
ELEVATIONS: FEET
REFERENCE SOURCE: REPORT TO NASA (EFFECTS OF RUNWAY UNEVENNESS ON THE DYNAMIC RESPONSE OF SUPERSONIC TRANSPORTS), JULY 1964, U. OF CALIF. BERKELEY.
RUNWAY ELEVATION POINTS IN FEET (READ ROW WISE):
|
Dist. |
Elev. |
Dist. |
Elev. |
Dist. |
Elev. |
Dist. |
Elev. |
Dist. |
Elev. |
Dist. |
Elev. |
Dist. |
Elev. |
Dist. |
Elev. |
|
0.00 |
10.30 |
2.00 |
10.31 |
4.00 |
10.30 |
6.00 |
10.30 |
8.00 |
10.31 |
10.00 |
10.32 |
12.00 |
10.33 |
14.00 |
10.34 |
|
16.00 |
10.35 |
18.00 |
10.36 |
20.00 |
10.36 |
22.00 |
10.37 |
24.00 |
10.37 |
26.00 |
10.37 |
28.00 |
10.38 |
30.00 |
10.39 |
|
32.00 |
10.40 |
34.00 |
10.40 |
36.00 |
10.41 |
38.00 |
10.41 |
40.00 |
10.42 |
42.00 |
10.43 |
44.00 |
10.43 |
46.00 |
10.44 |
|
48.00 |
10.44 |
50.00 |
10.44 |
52.00 |
10.44 |
54.00 |
10.44 |
56.00 |
10.45 |
58.00 |
10.46 |
60.00 |
10.47 |
62.00 |
10.47 |
|
64.00 |
10.48 |
66.00 |
10.49 |
68.00 |
10.49 |
70.00 |
10.50 |
72.00 |
10.50 |
74.00 |
10.50 |
76.00 |
10.50 |
78.00 |
10.50 |
|
80.00 |
10.50 |
82.00 |
10.49 |
84.00 |
10.49 |
86.00 |
10.49 |
88.00 |
10.49 |
90.00 |
10.50 |
92.00 |
10.50 |
94.00 |
10.51 |
|
96.00 |
10.51 |
98.00 |
10.52 |
100.00 |
10.52 |
102.00 |
10.52 |
104.00 |
10.53 |
106.00 |
10.53 |
108.00 |
10.54 |
110.00 |
10.54 |
|
112.00 |
10.55 |
114.00 |
10.55 |
116.00 |
10.55 |
118.00 |
10.55 |
120.00 |
10.54 |
122.00 |
10.55 |
124.00 |
10.55 |
126.00 |
10.56 |
|
128.00 |
10.57 |
130.00 |
10.57 |
132.00 |
10.57 |
134.00 |
10.57 |
136.00 |
10.57 |
138.00 |
10.58 |
140.00 |
10.57 |
142.00 |
10.57 |
|
144.00 |
10.58 |
146.00 |
10.57 |
148.00 |
10.56 |
150.00 |
10.56 |
152.00 |
10.56 |
154.00 |
10.56 |
156.00 |
10.56 |
158.00 |
10.56 |
|
160.00 |
10.56 |
162.00 |
10.56 |
164.00 |
10.55 |
166.00 |
10.55 |
168.00 |
10.55 |
170.00 |
10.56 |
172.00 |
10.57 |
174.00 |
10.57 |
|
176.00 |
10.57 |
178.00 |
10.57 |
180.00 |
10.56 |
182.00 |
10.55 |
184.00 |
10.55 |
186.00 |
10.55 |
188.00 |
10.55 |
190.00 |
10.55 |
|
192.00 |
10.56 |
194.00 |
10.56 |
196.00 |
10.56 |
198.00 |
10.56 |
200.00 |
10.55 |
202.00 |
10.54 |
204.00 |
10.53 |
206.00 |
10.52 |
|
208.00 |
10.52 |
210.00 |
10.52 |
212.00 |
10.52 |
214.00 |
10.52 |
216.00 |
10.52 |
218.00 |
10.53 |
220.00 |
10.52 |
222.00 |
10.52 |
|
224.00 |
10.51 |
226.00 |
10.52 |
228.00 |
10.52 |
230.00 |
10.51 |
232.00 |
10.52 |
234.00 |
10.52 |
236.00 |
10.53 |
238.00 |
10.53 |
|
240.00 |
10.53 |
242.00 |
10.53 |
244.00 |
10.53 |
246.00 |
10.53 |
248.00 |
10.53 |
250.00 |
10.53 |
252.00 |
10.53 |
254.00 |
10.52 |
|
256.00 |
10.53 |
258.00 |
10.54 |
260.00 |
10.54 |
262.00 |
10.54 |
264.00 |
10.54 |
266.00 |
10.54 |
268.00 |
10.54 |
270.00 |
10.55 |
|
272.00 |
10.55 |
274.00 |
10.54 |
276.00 |
10.55 |
278.00 |
10.55 |
280.00 |
10.56 |
282.00 |
10.57 |
284.00 |
10.58 |
286.00 |
10.59 |
|
288.00 |
10.60 |
290.00 |
10.61 |
292.00 |
10.62 |
294.00 |
10.63 |
296.00 |
10.65 |
298.00 |
10.66 |
300.00 |
10.66 |
302.00 |
10.67 |
|
304.00 |
10.66 |
306.00 |
10.67 |
308.00 |
10.67 |
310.00 |
10.67 |
312.00 |
10.67 |
314.00 |
10.67 |
316.00 |
10.66 |
318.00 |
10.66 |
|
320.00 |
10.65 |
322.00 |
10.65 |
324.00 |
10.65 |
326.00 |
10.65 |
328.00 |
10.66 |
330.00 |
10.67 |
332.00 |
10.67 |
334.00 |
10.67 |
|
336.00 |
10.68 |
338.00 |
10.68 |
340.00 |
10.68 |
342.00 |
10.69 |
344.00 |
10.69 |
346.00 |
10.69 |
348.00 |
10.70 |
350.00 |
10.71 |
|
352.00 |
10.71 |
354.00 |
10.72 |
356.00 |
10.72 |
358.00 |
10.71 |
360.00 |
10.72 |
362.00 |
10.72 |
364.00 |
10.72 |
366.00 |
10.71 |
|
368.00 |
10.72 |
370.00 |
10.72 |
372.00 |
10.73 |
374.00 |
10.73 |
376.00 |
10.74 |
378.00 |
10.75 |
380.00 |
10.75 |
382.00 |
10.78 |
|
384.00 |
10.77 |
386.00 |
10.78 |
388.00 |
10.79 |
390.00 |
10.80 |
392.00 |
10.81 |
394.00 |
10.81 |
396.00 |
10.82 |
398.00 |
10.83 |
|
400.00 |
10.84 |
402.00 |
10.85 |
404.00 |
10.86 |
406.00 |
10.86 |
408.00 |
10.86 |
410.00 |
10.86 |
412.00 |
10.85 |
414.00 |
10.86 |
|
416.00 |
10.86 |
418.00 |
10.87 |
420.00 |
10.87 |
422.00 |
10.87 |
424.00 |
10.87 |
426.00 |
10.87 |
428.00 |
10.86 |
430.00 |
10.85 |
|
432.00 |
10.84 |
434.00 |
10.84 |
436.00 |
10.83 |
438.00 |
10.83 |
440.00 |
10.84 |
442.00 |
10.85 |
444.00 |
10.86 |
446.00 |
10.87 |
|
448.00 |
10.87 |
450.00 |
10.88 |
452.00 |
10.89 |
454.00 |
10.90 |
456.00 |
10.92 |
458.00 |
10.93 |
460.00 |
10.94 |
462.00 |
10.95 |
|
464.00 |
10.95 |
466.00 |
10.95 |
468.00 |
10.95 |
470.00 |
10.95 |
472.00 |
10.95 |
474.00 |
10.96 |
476.00 |
10.97 |
478.00 |
10.98 |
|
480.00 |
10.98 |
482.00 |
10.99 |
484.00 |
10.99 |
486.00 |
10.99 |
488.00 |
11.00 |
490.00 |
11.01 |
492.00 |
11.01 |
494.00 |
11.01 |
|
496.00 |
11.01 |
498.00 |
10.98 |
500.00 |
10.96 |
502.00 |
10.95 |
504.00 |
10.95 |
506.00 |
10.95 |
508.00 |
10.96 |
510.00 |
10.97 |
|
512.00 |
10.97 |
514.00 |
10.98 |
516.00 |
10.97 |
518.00 |
10.97 |
520.00 |
10.98 |
522.00 |
10.99 |
524.00 |
11.00 |
526.00 |
11.01 |
|
528.00 |
11.03 |
530.00 |
11.03 |
532.00 |
11.03 |
534.00 |
11.03 |
536.00 |
11.03 |
538.00 |
11.03 |
540.00 |
11.03 |
542.00 |
11.03 |
|
544.00 |
11.02 |
546.00 |
11.02 |
548.00 |
11.03 |
550.00 |
11.04 |
552.00 |
11.05 |
554.00 |
11.05 |
556.00 |
11.04 |
558.00 |
11.06 |
|
560.00 |
11.07 |
562.00 |
11.07 |
564.00 |
11.08 |
566.00 |
11.08 |
568.00 |
11.09 |
570.00 |
11.10 |
572.00 |
11.12 |
574.00 |
11.13 |
|
576.00 |
11.14 |
578.00 |
11.14 |
580.00 |
11.15 |
582.00 |
11.16 |
584.00 |
11.17 |
586.00 |
11.17 |
588.00 |
11.17 |
590.00 |
11.17 |
|
592.00 |
11.17 |
594.00 |
11.18 |
596.00 |
11.18 |
598.00 |
11.18 |
600.00 |
11.17 |
602.00 |
11.17 |
604.00 |
11.17 |
606.00 |
11.17 |
|
608.00 |
11.19 |
610.00 |
11.17 |
612.00 |
11.18 |
614.00 |
11.18 |
616.00 |
11.18 |
618.00 |
11.19 |
620.00 |
11.19 |
622.00 |
11.19 |
|
624.00 |
11.20 |
626.00 |
11.21 |
628.00 |
11.21 |
630.00 |
11.21 |
632.00 |
11.20 |
634.00 |
11.20 |
636.00 |
11.20 |
638.00 |
11.19 |
|
640.00 |
11.18 |
642.00 |
11.18 |
644.00 |
11.17 |
646.00 |
11.16 |
648.00 |
11.15 |
650.00 |
11.14 |
652.00 |
11.14 |
654.00 |
11.14 |
|
656.00 |
11.12 |
658.00 |
11.11 |
660.00 |
11.09 |
662.00 |
11.09 |
664.00 |
11.09 |
666.00 |
11.09 |
668.00 |
11.09 |
670.00 |
11.09 |
|
672.00 |
11.09 |
674.00 |
11.09 |
676.00 |
11.09 |
678.00 |
11.09 |
680.00 |
11.09 |
682.00 |
11.09 |
684.00 |
11.09 |
686.00 |
11.08 |
|
688.00 |
11.08 |
690.00 |
11.08 |
692.00 |
11.08 |
694.00 |
11.07 |
696.00 |
11.06 |
698.00 |
11.05 |
700.00 |
11.04 |
702.00 |
11.03 |
|
704.00 |
11.02 |
706.00 |
11.01 |
708.00 |
11.00 |
710.00 |
10.99 |
712.00 |
10.99 |
714.00 |
10.98 |
716.00 |
10.99 |
718.00 |
10.98 |
|
720.00 |
10.98 |
722.00 |
10.98 |
724.00 |
10.98 |
726.00 |
10.98 |
728.00 |
10.98 |
730.00 |
10.99 |
732.00 |
10.99 |
734.00 |
11.00 |
|
736.00 |
11.00 |
738.00 |
11.00 |
740.00 |
11.00 |
742.00 |
11.00 |
744.00 |
11.01 |
746.00 |
11.02 |
748.00 |
11.02 |
750.00 |
11.02 |
|
752.00 |
11.02 |
754.00 |
11.02 |
756.00 |
11.02 |
758.00 |
11.01 |
760.00 |
11.01 |
762.00 |
11.00 |
764.00 |
11.00 |
766.00 |
11.00 |
|
768.00 |
11.00 |
770.00 |
11.00 |
772.00 |
11.00 |
774.00 |
10.99 |
776.00 |
10.99 |
778.00 |
10.98 |
780.00 |
10.99 |
782.00 |
10.99 |
|
784.00 |
11.00 |
786.00 |
11.01 |
788.00 |
11.01 |
790.00 |
11.01 |
792.00 |
11.03 |
794.00 |
11.04 |
796.00 |
11.03 |
798.00 |
11.05 |
|
800.00 |
11.06 |
802.00 |
11.07 |
804.00 |
11.06 |
806.00 |
11.07 |
808.00 |
11.08 |
810.00 |
11.08 |
812.00 |
11.08 |
814.00 |
11.09 |
|
816.00 |
11.09 |
818.00 |
11.08 |
820.00 |
11.08 |
822.00 |
11.08 |
824.00 |
11.08 |
826.00 |
11.08 |
828.00 |
11.08 |
830.00 |
11.07 |
|
832.00 |
11.08 |
834.00 |
11.08 |
836.00 |
11.08 |
838.00 |
11.08 |
840.00 |
11.09 |
842.00 |
11.08 |
844.00 |
11.08 |
846.00 |
11.07 |
|
848.00 |
11.07 |
850.00 |
11.06 |
852.00 |
11.05 |
854.00 |
11.05 |
856.00 |
11.04 |
858.00 |
11.05 |
860.00 |
11.04 |
862.00 |
11.04 |
|
864.00 |
11.04 |
866.00 |
11.04 |
868.00 |
11.04 |
870.00 |
11.04 |
872.00 |
11.04 |
874.00 |
11.03 |
876.00 |
11.03 |
878.00 |
11.03 |
|
880.00 |
11.03 |
882.00 |
11.02 |
884.00 |
11.02 |
886.00 |
11.02 |
888.00 |
11.02 |
890.00 |
11.02 |
892.00 |
11.02 |
894.00 |
11.03 |
|
896.00 |
11.03 |
898.00 |
11.04 |
900.00 |
11.05 |
902.00 |
11.05 |
904.00 |
11.06 |
906.00 |
11.06 |
908.00 |
11.06 |
910.00 |
11.07 |
|
912.00 |
11.07 |
914.00 |
11.07 |
916.00 |
11.07 |
918.00 |
11.07 |
920.00 |
11.08 |
922.00 |
11.08 |
924.00 |
11.07 |
926.00 |
11.07 |
|
928.00 |
11.07 |
930.00 |
11.06 |
932.00 |
11.06 |
934.00 |
11.06 |
936.00 |
11.06 |
938.00 |
11.06 |
940.00 |
11.07 |
942.00 |
11.07 |
|
944.00 |
11.08 |
946.00 |
11.08 |
948.00 |
11.09 |
950.00 |
11.09 |
952.00 |
11.09 |
954.00 |
11.09 |
956.00 |
11.10 |
958.00 |
11.09 |
|
960.00 |
11.09 |
962.00 |
11.09 |
964.00 |
11.09 |
966.00 |
11.08 |
968.00 |
11.08 |
970.00 |
11.07 |
972.00 |
11.07 |
974.00 |
11.06 |
|
976.00 |
11.07 |
978.00 |
11.09 |
980.00 |
11.10 |
982.00 |
11.10 |
984.00 |
11.11 |
986.00 |
11.11 |
988.00 |
11.12 |
990.00 |
11.12 |
|
992.00 |
11.12 |
994.00 |
11.11 |
996.00 |
11.11 |
998.00 |
11.11 |
1000.00 |
11.11 |
1002.00 |
11.11 |
1004.00 |
11.10 |
1006.00 |
11.11 |
|
1008.00 |
11.11 |
1010.00 |
11.12 |
1012.00 |
11.12 |
1014.00 |
11.12 |
1016.00 |
11.11 |
1018.00 |
11.11 |
1020.00 |
11.12 |
1022.00 |
11.11 |
|
1024.00 |
11.11 |
1026.00 |
11.11 |
1028.00 |
11.10 |
1030.00 |
11.10 |
1032.00 |
11.12 |
1034.00 |
11.13 |
1036.00 |
11.15 |
1038.00 |
11.16 |
|
1040.00 |
11.17 |
1042.00 |
11.18 |
1044.00 |
11.18 |
1046.00 |
11.19 |
1048.00 |
11.19 |
1050.00 |
11.20 |
1052.00 |
11.22 |
1054.00 |
11.22 |
|
1056.00 |
11.23 |
1058.00 |
11.23 |
1060.00 |
11.23 |
1062.00 |
11.24 |
1064.00 |
11.25 |
1066.00 |
11.25 |
1068.00 |
11.26 |
1070.00 |
11.24 |
|
1072.00 |
11.27 |
1074.00 |
11.28 |
1076.00 |
11.28 |
1078.00 |
11.30 |
1080.00 |
11.31 |
1082.00 |
11.32 |
1084.00 |
11.33 |
1086.00 |
11.34 |
|
1088.00 |
11.34 |
1090.00 |
11.34 |
1092.00 |
11.34 |
1094.00 |
11.33 |
1096.00 |
11.32 |
1098.00 |
11.32 |
1100.00 |
11.31 |
1102.00 |
11.32 |
|
1104.00 |
11.32 |
1106.00 |
11.31 |
1108.00 |
11.31 |
1110.00 |
11.31 |
1112.00 |
11.32 |
1114.00 |
11.31 |
1116.00 |
11.32 |
1118.00 |
11.33 |
|
1120.00 |
11.34 |
1122.00 |
11.35 |
1124.00 |
11.35 |
1126.00 |
11.36 |
1128.00 |
11.36 |
1130.00 |
11.36 |
1132.00 |
11.37 |
1134.00 |
11.37 |
|
1136.00 |
11.37 |
1138.00 |
11.37 |
1140.00 |
11.38 |
1142.00 |
11.38 |
1144.00 |
11.38 |
1146.00 |
11.38 |
1148.00 |
11.38 |
1150.00 |
11.38 |
|
1152.00 |
11.38 |
1154.00 |
11.38 |
1156.00 |
11.38 |
1158.00 |
11.37 |
1160.00 |
11.37 |
1162.00 |
11.37 |
1164.00 |
11.37 |
1166.00 |
11.38 |
|
1168.00 |
11.38 |
1170.00 |
11.39 |
1172.00 |
11.38 |
1174.00 |
11.38 |
1176.00 |
11.39 |
1178.00 |
11.40 |
1180.00 |
11.41 |
1182.00 |
11.41 |
|
1184.00 |
11.42 |
1186.00 |
11.43 |
1188.00 |
11.44 |
1190.00 |
11.44 |
1192.00 |
11.45 |
1194.00 |
11.46 |
1196.00 |
11.46 |
1198.00 |
11.46 |
|
1200.00 |
11.46 |
1202.00 |
11.47 |
1204.00 |
11.48 |
1206.00 |
11.48 |
1208.00 |
11.48 |
1210.00 |
11.49 |
1212.00 |
11.50 |
1214.00 |
11.50 |
|
1216.00 |
11.50 |
1218.00 |
11.50 |
1220.00 |
11.50 |
1222.00 |
11.50 |
1224.00 |
11.49 |
1226.00 |
11.49 |
1228.00 |
11.49 |
1230.00 |
11.48 |
|
1232.00 |
11.47 |
1234.00 |
11.46 |
1236.00 |
11.46 |
1238.00 |
11.48 |
1240.00 |
11.46 |
1242.00 |
11.47 |
1244.00 |
11.47 |
1246.00 |
11.47 |
|
1248.00 |
11.47 |
1250.00 |
11.46 |
1252.00 |
11.45 |
1254.00 |
11.45 |
1256.00 |
11.45 |
1258.00 |
11.46 |
1260.00 |
11.46 |
1262.00 |
11.46 |
|
1264.00 |
11.45 |
1266.00 |
11.45 |
1268.00 |
11.45 |
1270.00 |
11.45 |
1272.00 |
11.45 |
1274.00 |
11.46 |
1276.00 |
11.46 |
1278.00 |
11.46 |
|
1280.00 |
11.48 |
1282.00 |
11.47 |
1284.00 |
11.47 |
1286.00 |
11.48 |
1288.00 |
11.48 |
1290.00 |
11.48 |
1292.00 |
11.48 |
1294.00 |
11.49 |
|
1296.00 |
11.49 |
1298.00 |
11.50 |
1300.00 |
11.51 |
1302.00 |
11.52 |
1304.00 |
11.52 |
1306.00 |
11.52 |
1308.00 |
11.52 |
1310.00 |
11.52 |
|
1312.00 |
11.52 |
1314.00 |
11.52 |
1316.00 |
11.53 |
1318.00 |
11.52 |
1320.00 |
11.52 |
1322.00 |
11.52 |
1324.00 |
11.53 |
1326.00 |
11.53 |
|
1328.00 |
11.53 |
1330.00 |
11.53 |
1332.00 |
11.53 |
1334.00 |
11.53 |
1336.00 |
11.54 |
1338.00 |
11.53 |
1340.00 |
11.52 |
1342.00 |
11.52 |
|
1344.00 |
11.51 |
1346.00 |
11.53 |
1348.00 |
11.52 |
1350.00 |
11.54 |
1352.00 |
11.53 |
1354.00 |
11.54 |
1356.00 |
11.53 |
1358.00 |
11.54 |
|
1360.00 |
11.53 |
1362.00 |
11.54 |
1364.00 |
11.55 |
1366.00 |
11.54 |
1368.00 |
11.54 |
1370.00 |
11.54 |
1372.00 |
11.54 |
1374.00 |
11.53 |
|
1376.00 |
11.52 |
1378.00 |
11.51 |
1380.00 |
11.50 |
1382.00 |
11.49 |
1384.00 |
11.49 |
1386.00 |
11.49 |
1388.00 |
11.49 |
1390.00 |
11.49 |
|
1392.00 |
11.48 |
1394.00 |
11.47 |
1396.00 |
11.47 |
1398.00 |
11.47 |
1400.00 |
11.46 |
1402.00 |
11.47 |
1404.00 |
11.47 |
1406.00 |
11.48 |
|
1408.00 |
11.47 |
1410.00 |
11.46 |
1412.00 |
11.46 |
1414.00 |
11.46 |
1416.00 |
11.46 |
1418.00 |
11.46 |
1420.00 |
11.47 |
1422.00 |
11.47 |
|
1424.00 |
11.47 |
1426.00 |
11.46 |
1428.00 |
11.46 |
1430.00 |
11.44 |
1432.00 |
11.43 |
1434.00 |
11.41 |
1436.00 |
11.40 |
1438.00 |
11.39 |
|
1440.00 |
11.38 |
1442.00 |
11.37 |
1444.00 |
11.36 |
1446.00 |
11.36 |
1448.00 |
11.35 |
1450.00 |
11.35 |
1452.00 |
11.35 |
1454.00 |
11.35 |
|
1456.00 |
11.35 |
1458.00 |
11.34 |
1460.00 |
11.34 |
1462.00 |
11.33 |
1464.00 |
11.32 |
1466.00 |
11.32 |
1468.00 |
11.32 |
1470.00 |
11.31 |
|
1472.00 |
11.31 |
1474.00 |
11.30 |
1476.00 |
11.29 |
1478.00 |
11.29 |
1480.00 |
11.28 |
1482.00 |
11.28 |
1484.00 |
11.28 |
1486.00 |
11.28 |
|
1488.00 |
11.28 |
1490.00 |
11.27 |
1492.00 |
11.27 |
1494.00 |
11.27 |
1496.00 |
11.26 |
1498.00 |
11.26 |
1500.00 |
11.25 |
1502.00 |
11.25 |
|
1504.00 |
11.24 |
1506.00 |
11.23 |
1508.00 |
11.22 |
1510.00 |
11.21 |
1512.00 |
11.19 |
1514.00 |
11.18 |
1516.00 |
11.17 |
1518.00 |
11.17 |
|
1520.00 |
11.15 |
1522.00 |
11.13 |
1524.00 |
11.12 |
1526.00 |
11.10 |
1528.00 |
11.10 |
1530.00 |
11.18 |
1532.00 |
11.17 |
1534.00 |
11.14 |
|
1536.00 |
11.14 |
1538.00 |
11.12 |
1540.00 |
11.00 |
1542.00 |
10.97 |
1544.00 |
10.95 |
1546.00 |
10.94 |
1548.00 |
10.92 |
1550.00 |
10.91 |
|
1552.00 |
10.92 |
1554.00 |
10.92 |
1556.00 |
10.91 |
1558.00 |
10.93 |
1560.00 |
10.93 |
1562.00 |
10.93 |
1564.00 |
10.93 |
1566.00 |
10.93 |
|
1568.00 |
10.93 |
1570.00 |
10.93 |
1572.00 |
10.93 |
1574.00 |
10.93 |
1576.00 |
10.93 |
1578.00 |
10.93 |
1580.00 |
10.94 |
1582.00 |
10.94 |
|
1584.00 |
10.94 |
1586.00 |
10.94 |
1588.00 |
10.95 |
1590.00 |
10.94 |
1592.00 |
10.93 |
1594.00 |
10.94 |
1596.00 |
10.94 |
1598.00 |
10.93 |
|
1600.00 |
10.92 |
1602.00 |
10.92 |
1604.00 |
10.92 |
1606.00 |
10.91 |
1608.00 |
10.91 |
1610.00 |
10.91 |
1612.00 |
10.91 |
1614.00 |
10.90 |
|
1616.00 |
10.89 |
1618.00 |
10.88 |
1620.00 |
10.87* |
1622.00 |
10.89 |
1624.00 |
10.88 |
1626.00 |
10.88 |
1628.00 |
10.88 |
1630.00 |
10.87 |
|
1632.00 |
10.86 |
1634.00 |
10.85 |
1636.00 |
10.86 |
1638.00 |
10.86 |
1640.00 |
10.85 |
1642.00 |
10.85 |
1644.00 |
10.85 |
1646.00 |
10.84 |
|
1648.00 |
10.84 |
1650.00 |
10.84 |
1652.00 |
10.83 |
1654.00 |
10.83 |
1656.00 |
10.82 |
1658.00 |
10.82 |
1660.00 |
10.81 |
1662.00 |
10.81 |
|
1664.00 |
10.80 |
1666.00 |
10.79 |
1668.00 |
10.79 |
1670.00 |
10.79 |
1672.00 |
10.79 |
1674.00 |
10.79 |
1676.00 |
10.79 |
1678.00 |
10.80 |
|
1680.00 |
10.80 |
1682.00 |
10.81 |
1684.00 |
10.82 |
1686.00 |
10.82 |
1688.00 |
10.83 |
1690.00 |
10.84 |
1692.00 |
10.85 |
1694.00 |
10.85 |
|
1696.00 |
10.85 |
1698.00 |
10.87 |
1700.00 |
10.87 |
1702.00 |
10.88 |
1704.00 |
10.87 |
1706.00 |
10.88 |
1708.00 |
10.87 |
1710.00 |
10.87 |
|
1712.00 |
10.87 |
1714.00 |
10.87 |
1716.00 |
10.86 |
1718.00 |
10.85 |
1720.00 |
10.84 |
1722.00 |
10.84 |
1724.00 |
10.84 |
1726.00 |
10.84 |
|
1728.00 |
10.84 |
1730.00 |
10.83 |
1732.00 |
10.82 |
1734.00 |
10.82 |
1736.00 |
10.82 |
1738.00 |
10.82 |
1740.00 |
10.82 |
1742.00 |
10.82 |
|
1744.00 |
10.83 |
1746.00 |
10.82 |
1748.00 |
10.83 |
1750.00 |
10.82 |
1752.00 |
10.82 |
1754.00 |
10.82 |
1756.00 |
10.82 |
1758.00 |
10.81 |
|
1760.00 |
10.81 |
1762.00 |
10.81 |
1764.00 |
10.81 |
1766.00 |
10.82 |
1768.00 |
10.82 |
1770.00 |
10.82 |
1772.00 |
10.83 |
1774.00 |
10.83 |
|
1776.00 |
10.83 |
1778.00 |
10.84 |
1780.00 |
10.84 |
1782.00 |
10.85 |
1784.00 |
10.86 |
1786.00 |
10.86 |
1788.00 |
10.86 |
1790.00 |
10.88 |
|
1792.00 |
10.87 |
1794.00 |
10.86 |
1796.00 |
10.86 |
1798.00 |
10.86 |
1800.00 |
10.87 |
1802.00 |
10.87 |
1804.00 |
10.86 |
1806.00 |
10.85 |
|
1808.00 |
10.85 |
1810.00 |
10.89 |
1812.00 |
10.91 |
1814.00 |
10.91 |
1816.00 |
10.92 |
1818.00 |
10.92 |
1820.00 |
10.93 |
1822.00 |
10.93 |
|
1824.00 |
10.93 |
1826.00 |
10.94 |
1828.00 |
10.94 |
1830.00 |
10.95 |
1832.00 |
10.94 |
1834.00 |
10.93 |
1836.00 |
10.93 |
1838.00 |
10.92 |
|
1840.00 |
10.93 |
1842.00 |
10.91 |
1844.00 |
10.91 |
1846.00 |
10.90 |
1848.00 |
10.90 |
1850.00 |
10.90 |
1852.00 |
10.91 |
1854.00 |
10.91 |
|
1856.00 |
10.89 |
1858.00 |
10.90 |
1860.00 |
10.91 |
1862.00 |
10.91 |
1864.00 |
10.91 |
1866.00 |
10.92 |
1868.00 |
10.93 |
1870.00 |
10.94 |
|
1872.00 |
10.94 |
1874.00 |
10.94 |
1876.00 |
10.94 |
1878.00 |
10.94 |
1880.00 |
10.95 |
1882.00 |
10.93 |
1884.00 |
10.93 |
1886.00 |
10.93 |
|
1888.00 |
10.93 |
1890.00 |
10.92 |
1892.00 |
10.93 |
1894.00 |
10.93 |
1896.00 |
10.93 |
1898.00 |
10.93 |
1900.00 |
10.91 |
1902.00 |
10.90 |
|
1904.00 |
10.91 |
1906.00 |
10.91 |
1908.00 |
10.91 |
1910.00 |
10.91 |
1912.00 |
10.91 |
1914.00 |
10.91 |
1916.00 |
10.91 |
1918.00 |
10.90 |
|
1920.00 |
10.90 |
1922.00 |
10.89 |
1924.00 |
10.90 |
1926.00 |
10.90 |
1928.00 |
10.90 |
1930.00 |
10.91 |
1932.00 |
10.90 |
1934.00 |
10.91 |
|
1936.00 |
10.89 |
1938.00 |
10.89 |
1940.00 |
10.89 |
1942.00 |
10.89 |
1944.00 |
10.89 |
1946.00 |
10.88 |
1948.00 |
10.88 |
1950.00 |
10.87 |
|
1952.00 |
10.87 |
1954.00 |
10.87 |
1956.00 |
10.86 |
1958.00 |
10.88 |
1960.00 |
10.87 |
1962.00 |
10.86 |
1964.00 |
10.87 |
1966.00 |
10.87 |
|
1968.00 |
10.86 |
1970.00 |
10.85 |
1972.00 |
10.85 |
1974.00 |
10.85 |
1976.00 |
10.86 |
1978.00 |
10.85 |
1980.00 |
10.86 |
1982.00 |
10.86 |
|
1984.00 |
10.86 |
1986.00 |
10.87 |
1988.00 |
10.87 |
1990.00 |
10.87 |
1992.00 |
10.87 |
1994.00 |
10.87 |
1996.00 |
10.88 |
1998.00 |
10.87 |
|
2000.00 |
10.88 |
2002.00 |
10.87 |
2004.00 |
10.88 |
2006.00 |
10.88 |
2008.00 |
10.88 |
2010.00 |
10.88 |
2012.00 |
10.88 |
2014.00 |
10.89 |
|
2016.00 |
10.90 |
2018.00 |
10.89 |
2020.00 |
10.89 |
2022.00 |
10.89 |
2024.00 |
10.89 |
2026.00 |
10.90 |
2028.00 |
10.89 |
2030.00 |
10.89 |
|
2032.00 |
10.88 |
2034.00 |
10.87 |
2036.00 |
10.88 |
2038.00 |
10.87 |
2040.00 |
10.87 |
2042.00 |
10.87 |
2044.00 |
10.87 |
2046.00 |
10.88 |
|
2048.00 |
10.88 |
2050.00 |
10.88 |
2052.00 |
10.88 |
2054.00 |
10.88 |
2056.00 |
10.88 |
2058.00 |
10.89 |
2060.00 |
10.89 |
2062.00 |
10.89 |
|
2064.00 |
10.89 |
2066.00 |
10.89 |
2068.00 |
10.89 |
2070.00 |
10.89 |
2072.00 |
10.88 |
2074.00 |
10.88 |
2076.00 |
10.89 |
2078.00 |
10.88 |
|
2080.00 |
10.89 |
2082.00 |
10.88 |
2084.00 |
10.88 |
2086.00 |
10.88 |
2088.00 |
10.88 |
2090.00 |
10.88 |
2092.00 |
10.87 |
2094.00 |
10.87 |
|
2096.00 |
10.87 |
2098.00 |
10.87 |
2100.00 |
10.87 |
2102.00 |
10.88 |
2104.00 |
10.88 |
2106.00 |
10.88 |
2108.00 |
10.89 |
2110.00 |
10.89 |
|
2112.00 |
10.90 |
2114.00 |
10.91 |
2116.00 |
10.92 |
2118.00 |
10.92 |
2120.00 |
10.93 |
2122.00 |
10.92 |
2124.00 |
10.92 |
2126.00 |
10.92 |
|
2128.00 |
10.92 |
2130.00 |
10.92 |
2132.00 |
10.92 |
2134.00 |
10.92 |
2136.00 |
10.93 |
2138.00 |
10.93 |
2140.00 |
10.93 |
2142.00 |
10.93 |
|
2144.00 |
10.93 |
2146.00 |
10.94 |
2148.00 |
10.93 |
2150.00 |
10.93 |
2152.00 |
10.93 |
2154.00 |
10.93 |
2156.00 |
10.93 |
2158.00 |
10.92 |
|
2160.00 |
10.92 |
2162.00 |
10.91 |
2164.00 |
10.90 |
2166.00 |
10.92 |
2168.00 |
10.91 |
2170.00 |
10.91 |
2172.00 |
10.90 |
2174.00 |
10.90 |
|
2176.00 |
10.90 |
2178.00 |
10.88 |
2180.00 |
10.88 |
2182.00 |
10.86 |
2184.00 |
10.85 |
2186.00 |
10.85 |
2188.00 |
10.84 |
2190.00 |
10.84 |
|
2192.00 |
10.84 |
2194.00 |
10.84 |
2196.00 |
10.85 |
2198.00 |
10.85 |
2200.00 |
10.85 |
2202.00 |
10.85 |
2204.00 |
10.85 |
2206.00 |
10.85 |
|
2208.00 |
10.86 |
2210.00 |
10.86 |
2212.00 |
10.86 |
2214.00 |
10.87 |
2216.00 |
10.88 |
2218.00 |
10.88 |
2220.00 |
10.89 |
2222.00 |
10.90 |
|
2224.00 |
10.91 |
2226.00 |
10.91 |
2228.00 |
10.92 |
2230.00 |
10.92 |
2232.00 |
10.93 |
2234.00 |
10.94 |
2236.00 |
10.94 |
2238.00 |
10.95 |
|
2240.00 |
10.96 |
2242.00 |
10.96 |
2244.00 |
10.97 |
2246.00 |
10.99 |
2248.00 |
10.99 |
2250.00 |
10.99 |
2252.00 |
10.99 |
2254.00 |
11.00 |
|
2256.00 |
11.00 |
2258.00 |
11.00 |
2260.00 |
11.01 |
2262.00 |
11.01 |
2264.00 |
11.02 |
2266.00 |
11.02 |
2268.00 |
11.02 |
2270.00 |
11.04 |
|
2272.00 |
11.05 |
2274.00 |
11.05 |
2276.00 |
11.06 |
2278.00 |
11.06 |
2280.00 |
11.05 |
2282.00 |
11.04 |
2284.00 |
11.03 |
2286.00 |
11.03 |
|
2288.00 |
11.02 |
2290.00 |
11.03 |
2292.00 |
11.03 |
2294.00 |
11.04 |
2296.00 |
11.05 |
2298.00 |
11.06 |
2300.00 |
11.07 |
2302.00 |
11.09 |
|
2304.00 |
11.10 |
2306.00 |
11.10 |
2308.00 |
11.11 |
2310.00 |
11.12 |
2312.00 |
11.14 |
2314.00 |
11.14 |
2316.00 |
11.15 |
2318.00 |
11.16 |
|
2320.00 |
11.16 |
2322.00 |
11.16 |
2324.00 |
11.15 |
2326.00 |
11.15 |
2328.00 |
11.16 |
2330.00 |
11.15 |
2332.00 |
11.14 |
2334.00 |
11.14 |
|
2336.00 |
11.14 |
2338.00 |
11.14 |
2340.00 |
11.14 |
2342.00 |
11.14 |
2344.00 |
11.15 |
2346.00 |
11.15 |
2348.00 |
11.15 |
2350.00 |
11.15 |
|
2352.00 |
11.15 |
2354.00 |
11.15 |
2356.00 |
11.16 |
2358.00 |
11.16 |
2360.00 |
11.15 |
2362.00 |
11.15 |
2364.00 |
11.16 |
2366.00 |
11.16 |
|
2368.00 |
11.16 |
2370.00 |
11.16 |
2372.00 |
11.16 |
2374.00 |
11.16 |
2376.00 |
11.16 |
2378.00 |
11.16 |
2380.00 |
11.17 |
2382.00 |
11.17 |
|
2384.00 |
11.17 |
2386.00 |
11.17 |
2388.00 |
11.17 |
2390.00 |
11.17 |
2392.00 |
11.17 |
2394.00 |
11.16 |
2396.00 |
11.15 |
2398.00 |
11.15 |
|
2400.00 |
11.14 |
2402.00 |
11.14 |
2404.00 |
11.14 |
2406.00 |
11.13 |
2408.00 |
11.12 |
2410.00 |
11.12 |
2412.00 |
11.12 |
2414.00 |
11.12 |
|
2416.00 |
11.12 |
2418.00 |
11.12 |
2420.00 |
11.13 |
2422.00 |
11.13 |
2424.00 |
11.14 |
2426.00 |
11.15 |
2428.00 |
11.16 |
2430.00 |
11.17 |
|
2432.00 |
11.18 |
2434.00 |
11.19 |
2436.00 |
11.20 |
2438.00 |
11.20 |
2440.00 |
11.22 |
2442.00 |
11.23 |
2444.00 |
11.24 |
2446.00 |
11.24 |
|
2448.00 |
11.25 |
2450.00 |
11.26 |
2452.00 |
11.27 |
2454.00 |
11.28 |
2456.00 |
11.28 |
2458.00 |
11.29 |
2460.00 |
11.30 |
2462.00 |
11.30 |
|
2464.00 |
11.30 |
2466.00 |
11.31 |
2468.00 |
11.30 |
2470.00 |
11.31 |
2472.00 |
11.31 |
2474.00 |
11.31 |
2476.00 |
11.31 |
2478.00 |
11.30 |
|
2480.00 |
11.30 |
2482.00 |
11.30 |
2484.00 |
11.29 |
2486.00 |
11.29 |
2488.00 |
11.29 |
2490.00 |
11.29 |
2492.00 |
11.29 |
2494.00 |
11.29 |
|
2496.00 |
11.29 |
2498.00 |
11.29 |
2500.00 |
11.29 |
2502.00 |
11.30 |
2504.00 |
11.30 |
2506.00 |
11.31 |
2508.00 |
11.31 |
2510.00 |
11.32 |
|
2512.00 |
11.32 |
2514.00 |
11.33 |
2516.00 |
11.33 |
2518.00 |
11.34 |
2520.00 |
11.35 |
2522.00 |
11.35 |
2524.00 |
11.35 |
2526.00 |
11.35 |
|
2528.00 |
11.35 |
2530.00 |
11.35 |
2532.00 |
11.36 |
2534.00 |
11.36 |
2536.00 |
11.35 |
2538.00 |
11.35 |
2540.00 |
11.35 |
2542.00 |
11.35 |
|
2544.00 |
11.35 |
2546.00 |
11.35 |
2548.00 |
11.34 |
2550.00 |
11.34 |
2552.00 |
11.34 |
2554.00 |
11.34 |
2556.00 |
11.35 |
2558.00 |
11.35 |
|
2560.00 |
11.35 |
2562.00 |
11.34 |
2564.00 |
11.33 |
2566.00 |
11.33 |
2568.00 |
11.33 |
2570.00 |
11.33 |
2572.00 |
11.33 |
2574.00 |
11.33 |
|
2576.00 |
11.33 |
2578.00 |
11.32 |
2580.00 |
11.33 |
2582.00 |
11.33 |
2584.00 |
11.33 |
2586.00 |
11.33 |
2588.00 |
11.33 |
2590.00 |
11.34 |
|
2592.00 |
11.34 |
2594.00 |
11.34 |
2596.00 |
11.35 |
2598.00 |
11.35 |
2600.00 |
11.35 |
2602.00 |
11.35 |
2604.00 |
11.35 |
2606.00 |
11.35 |
|
2608.00 |
11.35 |
2610.00 |
11.35 |
2612.00 |
11.36 |
2614.00 |
11.36 |
2616.00 |
11.36 |
2618.00 |
11.35 |
2620.00 |
11.35 |
2622.00 |
11.35 |
|
2624.00 |
11.35 |
2626.00 |
11.35 |
2628.00 |
11.35 |
2630.00 |
11.36 |
2632.00 |
11.36 |
2634.00 |
11.36 |
2636.00 |
11.36 |
2638.00 |
11.36 |
|
2640.00 |
11.37 |
2642.00 |
11.38 |
2644.00 |
11.38 |
2646.00 |
11.39 |
2648.00 |
11.39 |
2650.00 |
11.40 |
2652.00 |
11.41 |
2654.00 |
11.42 |
|
2656.00 |
11.42 |
2658.00 |
11.43 |
2660.00 |
11.43 |
2662.00 |
11.42 |
2664.00 |
11.42 |
2666.00 |
11.43 |
2668.00 |
11.43 |
2670.00 |
11.43 |
|
2672.00 |
11.43 |
2674.00 |
11.43 |
2676.00 |
11.43 |
2678.00 |
11.44 |
2680.00 |
11.44 |
2682.00 |
11.45 |
2684.00 |
11.46 |
2686.00 |
11.46 |
|
2688.00 |
11.47 |
2690.00 |
11.48 |
2692.00 |
11.48 |
2694.00 |
11.49 |
2696.00 |
11.49 |
2698.00 |
11.50 |
2700.00 |
11.50 |
2702.00 |
11.51 |
|
2704.00 |
11.52 |
2706.00 |
11.52 |
2708.00 |
11.52 |
2710.00 |
11.52 |
2712.00 |
11.52 |
2714.00 |
11.52 |
2716.00 |
11.52 |
2718.00 |
11.52 |
|
2720.00 |
11.52 |
2722.00 |
11.52 |
2724.00 |
11.51 |
2726.00 |
11.51 |
2728.00 |
11.51 |
2730.00 |
11.50 |
2732.00 |
11.50 |
2734.00 |
11.50 |
|
2736.00 |
11.50 |
2738.00 |
11.51 |
2740.00 |
11.51 |
2742.00 |
11.51 |
2744.00 |
11.52 |
2746.00 |
11.52 |
2748.00 |
11.52 |
2750.00 |
11.52 |
|
2752.00 |
11.53 |
2754.00 |
11.53 |
2756.00 |
11.53 |
2758.00 |
11.52 |
2760.00 |
11.52 |
2762.00 |
11.52 |
2764.00 |
11.52 |
2766.00 |
11.52 |
|
2768.00 |
11.52 |
2770.00 |
11.53 |
2772.00 |
11.53 |
2774.00 |
11.53 |
2776.00 |
11.54 |
2778.00 |
11.53 |
2780.00 |
11.53 |
2782.00 |
11.54 |
|
2784.00 |
11.54 |
2786.00 |
11.54 |
2788.00 |
11.54 |
2790.00 |
11.53 |
2792.00 |
11.53 |
2794.00 |
11.53 |
2796.00 |
11.53 |
2798.00 |
11.54 |
|
2800.00 |
11.54 |
2802.00 |
11.54 |
2804.00 |
11.55 |
2806.00 |
11.55 |
2808.00 |
11.55 |
2810.00 |
11.56 |
2812.00 |
11.55 |
2814.00 |
11.55 |
|
2816.00 |
11.55 |
2818.00 |
11.55 |
2820.00 |
11.54 |
2822.00 |
11.53 |
2824.00 |
11.53 |
2826.00 |
11.53 |
2828.00 |
11.51 |
2830.00 |
11.52 |
|
2832.00 |
11.52 |
2834.00 |
11.53 |
2836.00 |
11.53 |
2838.00 |
11.54 |
2840.00 |
11.55 |
2842.00 |
11.56 |
2844.00 |
11.56 |
2846.00 |
11.57 |
|
2848.00 |
11.57 |
2850.00 |
11.57 |
2852.00 |
11.58 |
2854.00 |
11.58 |
2856.00 |
11.58 |
2858.00 |
11.58 |
2860.00 |
11.58 |
2862.00 |
11.58 |
|
2864.00 |
11.59 |
2866.00 |
11.59 |
2868.00 |
11.59 |
2870.00 |
11.59 |
2872.00 |
11.58 |
2874.00 |
11.57 |
2876.00 |
11.57 |
2878.00 |
11.58 |
|
2880.00 |
11.57 |
2882.00 |
11.57 |
2884.00 |
11.57 |
2886.00 |
11.58 |
2888.00 |
11.58 |
2890.00 |
11.59 |
2892.00 |
11.60 |
2894.00 |
11.62 |
|
2896.00 |
11.61 |
2898.00 |
11.61 |
2900.00 |
11.61 |
2902.00 |
11.61 |
2904.00 |
11.61 |
2906.00 |
11.62 |
2908.00 |
11.63 |
2910.00 |
11.64 |
|
2912.00 |
11.65 |
2914.00 |
11.66 |
2916.00 |
11.67 |
2918.00 |
11.67 |
2920.00 |
11.67 |
2922.00 |
11.68 |
2924.00 |
11.70 |
2926.00 |
11.72 |
|
2928.00 |
11.73 |
2930.00 |
11.74 |
2932.00 |
11.76 |
2934.00 |
11.77 |
2936.00 |
11.78 |
2938.00 |
11.80 |
2940.00 |
11.82 |
2942.00 |
11.82 |
|
2944.00 |
11.82 |
2946.00 |
11.83 |
2948.00 |
11.82 |
2950.00 |
11.82 |
2952.00 |
11.83 |
2954.00 |
11.84 |
2956.00 |
11.83 |
2958.00 |
11.83 |
|
2960.00 |
11.83 |
2962.00 |
11.83 |
2964.00 |
11.83 |
2966.00 |
11.83 |
2968.00 |
11.84 |
2970.00 |
11.85 |
2972.00 |
11.86 |
2974.00 |
11.87 |
|
2976.00 |
11.88 |
2978.00 |
11.88 |
2980.00 |
11.89 |
2982.00 |
11.90 |
2984.00 |
11.90 |
2986.00 |
11.90 |
2988.00 |
11.90 |
2990.00 |
11.90 |
|
2992.00 |
11.90 |
2994.00 |
11.91 |
2996.00 |
11.91 |
2998.00 |
11.90 |
3000.00 |
11.91 |
3002.00 |
11.91 |
3004.00 |
11.91 |
3006.00 |
11.91 |
|
3008.00 |
11.90 |
3010.00 |
11.91 |
3012.00 |
11.91 |
3014.00 |
11.92 |
3016.00 |
11.92 |
3018.00 |
11.92 |
3020.00 |
11.92 |
3022.00 |
11.92 |
|
3024.00 |
11.92 |
3026.00 |
11.92 |
3028.00 |
11.91 |
3030.00 |
11.91 |
3032.00 |
11.92 |
3034.00 |
11.91 |
3036.00 |
11.91 |
3038.00 |
11.91 |
|
3040.00 |
11.91 |
3042.00 |
11.90 |
3044.00 |
11.90 |
3046.00 |
11.90 |
3048.00 |
11.90 |
3050.00 |
11.90 |
3052.00 |
11.90 |
3054.00 |
11.90 |
|
3056.00 |
11.90 |
3058.00 |
11.90 |
3060.00 |
11.90 |
3062.00 |
11.91 |
3064.00 |
11.92 |
3066.00 |
11.92 |
3068.00 |
11.92 |
3070.00 |
11.93 |
|
3072.00 |
11.93 |
3074.00 |
11.93 |
3076.00 |
11.93 |
3078.00 |
11.94 |
3080.00 |
11.94 |
3082.00 |
11.95 |
3084.00 |
11.95 |
3086.00 |
11.95 |
|
3088.00 |
11.96 |
3090.00 |
11.96 |
3092.00 |
11.96 |
3094.00 |
11.96 |
3096.00 |
11.96 |
3098.00 |
11.96 |
3100.00 |
11.95 |
3102.00 |
11.94 |
|
3104.00 |
11.93 |
3106.00 |
11.92 |
3108.00 |
11.92 |
3110.00 |
11.92 |
3112.00 |
11.92 |
3114.00 |
11.92 |
3116.00 |
11.92 |
3118.00 |
11.92 |
|
3120.00 |
11.92 |
3122.00 |
11.92 |
3124.00 |
11.92 |
3126.00 |
11.92 |
3128.00 |
11.91 |
3130.00 |
11.90 |
3132.00 |
11.90 |
3134.00 |
11.90 |
|
3136.00 |
11.90 |
3138.00 |
11.90 |
3140.00 |
11.90 |
3142.00 |
11.90 |
3144.00 |
11.90 |
3146.00 |
11.90 |
3148.00 |
11.90 |
3150.00 |
11.90 |
|
3152.00 |
11.90 |
3154.00 |
11.90 |
3156.00 |
11.90 |
3158.00 |
11.90 |
3160.00 |
11.90 |
3162.00 |
11.89 |
3164.00 |
11.88 |
3166.00 |
11.88 |
|
3168.00 |
11.87 |
3170.00 |
11.87 |
3172.00 |
11.86 |
3174.00 |
11.86 |
3176.00 |
11.85 |
3178.00 |
11.85 |
3180.00 |
11.84 |
3182.00 |
11.84 |
|
3184.00 |
11.84 |
3186.00 |
11.84 |
3188.00 |
11.84 |
3190.00 |
11.85 |
3192.00 |
11.87 |
3194.00 |
11.89 |
3196.00 |
11.89 |
3198.00 |
11.90 |
|
3200.00 |
11.89 |
3202.00 |
11.92 |
3204.00 |
11.95 |
3206.00 |
11.95 |
3208.00 |
11.95 |
3210.00 |
11.94 |
3212.00 |
11.94 |
3214.00 |
11.93 |
|
3216.00 |
11.92 |
3218.00 |
11.92 |
3220.00 |
11.91 |
3222.00 |
11.90 |
3224.00 |
11.90 |
3226.00 |
11.89 |
3228.00 |
11.88 |
3230.00 |
11.87 |
|
3232.00 |
11.86 |
3234.00 |
11.85 |
3236.00 |
11.84 |
3238.00 |
11.84 |
3240.00 |
11.84 |
3242.00 |
11.83 |
3244.00 |
11.82 |
3246.00 |
11.82 |
|
3248.00 |
11.81 |
3250.00 |
11.83 |
3252.00 |
11.83 |
3254.00 |
11.83 |
3256.00 |
11.84 |
3258.00 |
11.84 |
3260.00 |
11.84 |
3262.00 |
11.84 |
|
3264.00 |
11.82 |
3266.00 |
11.83 |
3268.00 |
11.82 |
3270.00 |
11.83 |
3272.00 |
11.83 |
3274.00 |
11.84 |
3276.00 |
11.84 |
3278.00 |
11.84 |
|
3280.00 |
11.85 |
3282.00 |
11.84 |
3284.00 |
11.84 |
3286.00 |
11.84 |
3288.00 |
11.85 |
3290.00 |
11.85 |
3292.00 |
11.85 |
3294.00 |
11.86 |
|
3296.00 |
11.86 |
3298.00 |
11.84 |
3300.00 |
11.84 |
3302.00 |
11.84 |
3304.00 |
11.84 |
3306.00 |
11.84 |
3308.00 |
11.84 |
3310.00 |
11.84 |
|
3312.00 |
11.84 |
3314.00 |
11.84 |
3316.00 |
11.84 |
3318.00 |
11.84 |
3320.00 |
11.84 |
3322.00 |
11.83 |
3324.00 |
11.83 |
3326.00 |
11.83 |
|
3328.00 |
11.82 |
3330.00 |
11.83 |
3332.00 |
11.83 |
3334.00 |
11.83 |
3336.00 |
11.82 |
3338.00 |
11.82 |
3340.00 |
11.83 |
3342.00 |
11.82 |
|
3344.00 |
11.83 |
3346.00 |
11.83 |
3348.00 |
11.84 |
3350.00 |
11.84 |
3352.00 |
11.83 |
3354.00 |
11.83 |
3356.00 |
11.83 |
3358.00 |
11.83 |
|
3360.00 |
11.83 |
3362.00 |
11.84 |
3364.00 |
11.84 |
3366.00 |
11.84 |
3368.00 |
11.85 |
3370.00 |
11.85 |
3372.00 |
11.85 |
3374.00 |
11.85 |
|
3376.00 |
11.84 |
3378.00 |
11.84 |
3380.00 |
11.85 |
3382.00 |
11.85 |
3384.00 |
11.86 |
3386.00 |
11.86 |
3388.00 |
11.87 |
3390.00 |
11.87 |
|
3392.00 |
11.87 |
3394.00 |
11.87 |
3396.00 |
11.87 |
3398.00 |
11.86 |
3400.00 |
11.87 |
3402.00 |
11.87 |
3404.00 |
11.88 |
3406.00 |
11.89 |
|
3408.00 |
11.89 |
3410.00 |
11.89 |
3412.00 |
11.91 |
3414.00 |
11.91 |
3416.00 |
11.92 |
3418.00 |
11.93 |
3420.00 |
11.95 |
3422.00 |
11.95 |
|
3424.00 |
11.96 |
3426.00 |
11.96 |
3428.00 |
11.96 |
3430.00 |
11.96 |
3432.00 |
11.95 |
3434.00 |
11.96 |
3436.00 |
11.96 |
3438.00 |
11.96 |
|
3440.00 |
11.96 |
3442.00 |
11.95 |
3444.00 |
11.95 |
3446.00 |
11.94 |
3448.00 |
11.96 |
3450.00 |
11.98 |
3452.00 |
11.99 |
3454.00 |
12.01 |
|
3456.00 |
12.03 |
3458.00 |
12.04 |
3460.00 |
12.05 |
3462.00 |
12.05 |
3464.00 |
12.05 |
3466.00 |
12.05 |
3468.00 |
12.05 |
3470.00 |
12.05 |
|
3472.00 |
12.04 |
3474.00 |
12.06 |
3476.00 |
12.06 |
3478.00 |
12.07 |
3480.00 |
12.07 |
3482.00 |
12.07 |
3484.00 |
12.07 |
3486.00 |
12.06 |
|
3488.00 |
12.07 |
3490.00 |
12.07 |
3492.00 |
12.08 |
3494.00 |
12.08 |
3496.00 |
12.08 |
3498.00 |
12.09 |
3500.00 |
12.09 |
3502.00 |
12.08 |
|
3504.00 |
12.08 |
3506.00 |
12.08 |
3508.00 |
12.08 |
3510.00 |
12.08 |
3512.00 |
12.09 |
3514.00 |
12.10 |
3516.00 |
12.10 |
3518.00 |
12.10 |
|
3520.00 |
12.10 |
3522.00 |
12.10 |
3524.00 |
12.11 |
3526.00 |
12.11 |
3528.00 |
12.12 |
3530.00 |
12.13 |
3532.00 |
12.13 |
3534.00 |
12.13 |
|
3536.00 |
12.13 |
3538.00 |
12.14 |
3540.00 |
12.14 |
3542.00 |
12.13 |
3544.00 |
12.13 |
3546.00 |
12.13 |
3548.00 |
12.11 |
3550.00 |
12.10 |
|
3552.00 |
12.07 |
3554.00 |
12.06 |
3556.00 |
12.07 |
3558.00 |
12.08 |
3560.00 |
12.09 |
3562.00 |
12.10 |
3564.00 |
12.11 |
3566.00 |
12.11 |
|
3568.00 |
12.12 |
3570.00 |
12.06 |
3572.00 |
12.01 |
3574.00 |
12.03 |
3576.00 |
12.04 |
3578.00 |
12.05 |
3580.00 |
12.05 |
3582.00 |
12.06 |
|
3584.00 |
12.06 |
3586.00 |
12.05 |
3588.00 |
12.04 |
3590.00 |
12.03 |
3592.00 |
12.02 |
3594.00 |
12.02 |
3596.00 |
12.02 |
3598.00 |
12.02 |
|
3600.00 |
12.01 |
3602.00 |
11.99 |
3604.00 |
11.98 |
3606.00 |
11.94 |
3608.00 |
11.94 |
3610.00 |
11.93 |
3612.00 |
11.93 |
3614.00 |
11.92 |
|
3616.00 |
11.91 |
3618.00 |
11.90 |
3620.00 |
11.90 |
3622.00 |
11.90 |
3624.00 |
11.90 |
3626.00 |
11.90 |
3628.00 |
11.91 |
3630.00 |
11.90 |
|
3632.00 |
11.88 |
3634.00 |
11.87 |
3636.00 |
11.87 |
3638.00 |
11.86 |
3640.00 |
11.86 |
3642.00 |
11.85 |
3644.00 |
11.86 |
3646.00 |
11.86 |
|
3648.00 |
11.85 |
3650.00 |
11.85 |
3652.00 |
11.85 |
3654.00 |
11.86 |
3656.00 |
11.86 |
3658.00 |
11.87 |
3660.00 |
11.86 |
3662.00 |
11.86 |
|
3664.00 |
11.85 |
3666.00 |
11.84 |
3668.00 |
11.85 |
3670.00 |
11.85 |
3672.00 |
11.87 |
3674.00 |
11.89 |
3676.00 |
11.88 |
3678.00 |
11.88 |
|
3680.00 |
11.88 |
3682.00 |
11.89 |
3684.00 |
11.90 |
3686.00 |
11.91 |
3688.00 |
11.91 |
3690.00 |
11.91 |
3692.00 |
11.91 |
3694.00 |
11.92 |
|
3696.00 |
11.92 |
3698.00 |
11.93 |
3700.00 |
11.94 |
3702.00 |
11.94 |
3704.00 |
11.95 |
3706.00 |
11.95 |
3708.00 |
11.95 |
3710.00 |
11.95 |
|
3712.00 |
11.95 |
3714.00 |
11.96 |
3716.00 |
11.95 |
3718.00 |
11.95 |
3720.00 |
11.96 |
3722.00 |
11.97 |
3724.00 |
11.98 |
3726.00 |
11.98 |
|
3728.00 |
11.99 |
3730.00 |
12.00 |
3732.00 |
12.00 |
3734.00 |
11.99 |
3736.00 |
11.99 |
3738.00 |
11.99 |
3740.00 |
12.00 |
3742.00 |
12.00 |
|
3744.00 |
12.01 |
3746.00 |
12.02 |
3748.00 |
12.02 |
3750.00 |
12.03 |
3752.00 |
12.04 |
3754.00 |
12.05 |
3756.00 |
12.06 |
3758.00 |
12.06 |
|
3760.00 |
12.06 |
3762.00 |
12.06 |
3764.00 |
12.06 |
3766.00 |
12.06 |
3768.00 |
12.06 |
3770.00 |
12.06 |
3772.00 |
12.07 |
3774.00 |
12.08 |
|
3776.00 |
12.09 |
3778.00 |
12.10 |
3780.00 |
12.09 |
3782.00 |
12.12 |
3784.00 |
12.13 |
3786.00 |
12.14 |
3788.00 |
12.13 |
3790.00 |
12.14 |
|
3792.00 |
12.14 |
3794.00 |
12.14 |
3796.00 |
12.15 |
3798.00 |
12.15 |
3800.00 |
12.16 |
3802.00 |
12.16 |
3804.00 |
12.17 |
3806.00 |
12.17 |
|
3808.00 |
12.17 |
3810.00 |
12.15 |
3812.00 |
12.14 |
3814.00 |
12.13 |
3816.00 |
12.12 |
3818.00 |
12.11 |
3820.00 |
12.10 |
3822.00 |
12.09 |
|
3824.00 |
12.09 |
3826.00 |
12.09 |
3828.00 |
12.08 |
3830.00 |
12.07 |
3832.00 |
12.07 |
3834.00 |
12.06 |
3836.00 |
12.05 |
3838.00 |
12.03 |
|
3840.00 |
12.03 |
3842.00 |
12.02 |
3844.00 |
12.01 |
3846.00 |
12.02 |
3848.00 |
12.01 |
3850.00 |
12.01 |
3852.00 |
12.01 |
3854.00 |
12.01 |
|
3856.00 |
12.02 |
3858.00 |
12.02 |
3860.00 |
12.01 |
3862.00 |
12.00 |
3864.00 |
12.00 |
3866. |
|
|
|
|
|
*The National Aeronautics and Space Administration (NASA) Report CR-119 identifies an elevation of 10.97 feet at 1620 feet. This is considered a typographical error and has been corrected in Table 1. The elevation is 10.87 feet.
TABLE 2
SF28R SEVERE BUMP MODIFICATIONS PER ICAO ANNEX 14, SPECIFICATION 9.4.15
|
Distance |
Original Elevation (ft) |
Modified Elevation (ft) |
|
1530 |
11.18 |
11.10 |
|
1532 |
11.17 |
11.11 |
|
1534 |
11.14 |
11.11 |
|
1536 |
11.14 |
11.07 |
|
1538 |
11.12 |
11.04 |
CS 25.493 Braked roll conditions
ED Decision 2003/2/RM
(a) An aeroplane with a tail wheel is assumed to be in the level attitude with the load on the main wheels, in accordance with Figure 6 of Appendix A. The limit vertical load factor is 1·2 at the design landing weight, and 1·0 at the design ramp weight. A drag reaction equal to the vertical reaction multiplied by a coefficient of friction of 0·8, must be combined with the vertical ground reaction and applied at the ground contact point.
(b) For an aeroplane with a nose wheel, the limit vertical load factor is 1·2 at the design landing weight, and 1·0 at the design ramp weight. A drag reaction equal to the vertical reaction, multiplied by a coefficient of friction of 0·8, must be combined with the vertical reaction and applied at the ground contact point of each wheel with brakes. The following two attitudes, in accordance with Figure 6 of Appendix A, must be considered:
(1) The level attitude with the wheels contacting the ground and the loads distributed between the main and nose gear. Zero pitching acceleration is assumed.
(2) The level attitude with only the main gear contacting the ground and with the pitching moment resisted by angular acceleration.
(c) A drag reaction lower than that prescribed in this paragraph may be used if it is substantiated that an effective drag force of 0·8 times the vertical reaction cannot be attained under any likely loading condition.
(d) An aeroplane equipped with a nose gear must be designed to withstand the loads arising from the dynamic pitching motion of the aeroplane due to sudden application of maximum braking force. The aeroplane is considered to be at design takeoff weight with the nose and main gears in contact with the ground, and with a steady state vertical load factor of 1·0. The steady state nose gear reaction must be combined with the maximum incremental nose gear vertical reaction caused by sudden application of maximum braking force as described in sub-paragraphs (b) and (c) of this paragraph.
(e) In the absence of a more rational analysis, the nose gear vertical reaction prescribed in subparagraph (d) of this paragraph must be calculated in accordance with the following formula:
Where:
VN = Nose gear vertical reaction
WT = Design take-off weight
A = Horizontal distance between the c.g. of the aeroplane and the nose wheel.
B = Horizontal distance between the c.g. of the aeroplane and the line joining the centres of the main wheels.
E = Vertical height of the c.g. of the aeroplane above the ground in the 1·0 g static condition.
µ = Coefficient of friction of 0·8.
f = Dynamic response factor; 2·0 is to be used unless a lower factor is substantiated.
In the absence of other information, the dynamic response factor f may be defined by the equation.
Where: ξ is the critical damping ratio of the rigid body pitching mode about the main landing gear effective ground contact point.
ED Decision 2003/2/RM
In the static position, in accordance with Figure 7 of Appendix A, the aeroplane is assumed to execute a steady turn by nose gear steering, or by application of sufficient differential power, so that the limit load factors applied at the centre of gravity are 1·0 vertically and 0·5 laterally. The side ground reaction of each wheel must be 0·5 of the vertical reaction.
ED Decision 2003/2/RM
(a) A vertical ground reaction equal to the static load on the tail wheel, in combination with a side component of equal magnitude, is assumed.
(b) If there is a swivel, the tail wheel is assumed to be swivelled 90° to the aeroplane longitudinal axis with the resultant load passing through the axle.
(c) If there is a lock, steering device, or shimmy damper the tail wheel is also assumed to be in the trailing position with the side load acting at the ground contact point.
CS 25.499 Nose-wheel yaw and steering
ED Decision 2003/2/RM
(a) A vertical load factor of 1·0 at the aeroplane centre of gravity, and a side component at the nose wheel ground contact equal to 0·8 of the vertical ground reaction at that point are assumed.
(b) With the aeroplane assumed to be in static equilibrium with the loads resulting from the use of brakes on one side of the main landing gear, the nose gear, its attaching structure, and the fuselage structure forward of the centre of gravity must be designed for the following loads:
(1) A vertical load factor at the centre of gravity of 1·0.
(2) A forward acting load at the aeroplane centre of gravity of 0·8 times the vertical load on one main gear.
(3) Side and vertical loads at the ground contact point on the nose gear that are required for static equilibrium.
(4) A side load factor at the aeroplane centre of gravity of zero.
(c) If the loads prescribed in sub-paragraph (b) of this paragraph result in a nose gear side load higher than 0·8 times the vertical nose gear load, the design nose gear side load may be limited to 0·8 times the vertical load, with unbalanced yawing moments assumed to be resisted by aeroplane inertia forces.
(d) For other than the nose gear, its attaching structure, and the forward fuselage structure the loading conditions are those prescribed in sub-paragraph (b) of this paragraph, except that –
(1) A lower drag reaction may be used if an effective drag force of 0·8 times the vertical reaction cannot be reached under any likely loading condition; and
(2) The forward acting load at the centre of gravity need not exceed the maximum drag reaction on one main gear, determined in accordance with CS 25.493(b).
(e) With the aeroplane at design ramp weight, and the nose gear in any steerable position, the combined application of full normal steering torque and vertical force equal to 1·33 times the maximum static reaction on the nose gear must be considered in designing the nose gear, its attaching structure and the forward fuselage structure.
ED Decision 2003/2/RM
(a) The aeroplane is assumed to pivot about one side of the main gear with the brakes on that side locked. The limit vertical load factor must be 1·0 and the coefficient of friction 0·8.
(b) The aeroplane is assumed to be in static equilibrium, with the loads being applied at the ground contact points, in accordance with Figure 8 of Appendix A.
ED Decision 2003/2/RM
(a) The aeroplane must be in a three point static ground attitude. Horizontal reactions parallel to the ground and directed forward must be applied at the ground contact point of each wheel with brakes. The limit loads must be equal to 0·55 times the vertical load at each wheel or to the load developed by 1·2 times the nominal maximum static brake torque, whichever is less.
(b) For aeroplanes with nose wheels, the pitching moment must be balanced by rotational inertia.
(c) For aeroplanes with tail wheels, the resultant of the ground reactions must pass through the centre of gravity of the aeroplane.
ED Decision 2013/010/R
(See AMC 25.509)
(a) The towing loads specified in sub-paragraph (d) of this paragraph must be considered separately. These loads must be applied at the towing fittings and must act parallel to the ground. In addition –
(1) A vertical load factor equal to 1·0 must be considered acting at the centre of gravity;
(2) The shock struts and tyres must be in their static positions; and
(3) With WT as the design ramp weight, the towing load, FTOW is –
(i) 0.3 WT for WT less than 30 000 pounds;
(ii)
for WT between 30 000 and 100 000 pounds; and
(iii) 0·15 WT for WT over 100 000 pounds.
(b) For towing points not on the landing gear but near the plane of symmetry of the aeroplane, the drag and side tow load components specified for the auxiliary gear apply. For towing points located outboard of the main gear, the drag and side tow load components specified for the main gear apply. Where the specified angle of swivel cannot be reached, the maximum obtainable angle must be used.
(c) The towing loads specified in sub-paragraph (d) of this paragraph must be reacted as follows:
(1) The side component of the towing load at the main gear must be reacted by a side force at the static ground line of the wheel to which the load is applied.
(2) The towing loads at the auxiliary gear and the drag components of the towing loads at the main gear must be reacted as follows:
(i) A reaction with a maximum value equal to the vertical reaction must be applied at the axle of the wheel to which the load is applied. Enough aeroplane inertia to achieve equilibrium must be applied.
(ii) The loads must be reacted by aeroplane inertia.
(d) The prescribed towing loads are as specified in the following Table:
|
Tow Point |
Position |
Load |
||
|
Magnitude |
No. |
Direction |
||
|
Main gear |
|
0·75 FTOW per main gear unit |
1 2 3 4 |
Forward, parallel to drag axis Forward, at 30° to drag axis Aft, parallel to drag axis Aft, at 30° to drag axis |
|
Auxiliary gear |
Swivelled forward |
1·0 FTOW |
5 6 |
Forward Aft |
|
Swivelled aft |
7 8 |
Forward Aft |
||
|
Swivelled 45° from forward |
0·5 FTOW |
9 10 |
Forward, in plane of wheel Aft, in plane of wheel |
|
|
Swivelled 45° from aft |
11 12 |
Forward, in plane of wheel Aft, in plane of wheel |
||
[Amdt 25/13]
ED Decision 2013/010/R
(a) General
Towbarless towing vehicles are generally considered as ground equipment and are as such not subject to direct approval by the (aircraft) certifying agencies. However, these vehicles should be qualified in accordance with the applicable SAE ARP documents. It should be ensured that the nose landing gear and supporting structure is not being overloaded (by static and dynamic (including fatigue) loads) during towbarless towing operations with these vehicles. This should be ensured by the aircraft manufacturer, either by specific investigations as described in subparagraphs (b) and (c) below, or alternatively, by publishing aircraft load limitations in a towbarless towing vehicle assessment document, to allow towbarless towing vehicle manufacturers to demonstrate their vehicles will not overload the aircraft.
(b) Limit static load cases
For the limit static load cases, the investigation may be conducted by rational analysis supported by test evidence. The investigation should take into account the influence on the towing loads of the tractive force of the towing vehicle including consideration of its weight and pavement roughness.
Furthermore, the investigation should include, but may not be limited to, the following towbarless towing operation scenarios:
(1) Pushback towing: Moving a fully loaded aircraft (up to Maximum Ramp Weight (MRW)) from the parking position to the taxiway. Movement includes: pushback with turn, a stop, and short tow forward to align aircraft and nose wheels. Engines may or may not be operating. Aeroplane movement is similar to a conventional pushback operation with a towbar.
(2) Maintenance towing: The movement of an aeroplane for maintenance/remote parking purposes (e.g. from the gate to a maintenance hangar). Aircraft is typically unloaded with minimal fuel load.
(3) Dispatch (operational) towing: Towing a revenue aircraft (loaded with passengers, fuel, and cargo up to Maximum Ramp Weight (MRW) from the terminal gate/remote parking area to a location near the active runway. The movement may cover several kilometres with speeds according to SAE ARP 5283 technical standards, with several starts, stops, and turns. It replaces typical taxiing operations prior to take-off.
Operations that are explicitly prohibited need not to be addressed.
(c) Fatigue evaluation
Fatigue evaluation of the impact of towbarless towing on the airframe should be conducted under the provision of CS 25.571 and CS 25.1529.
Specifically, the contribution of the towbarless towing operational loads to the fatigue load spectra for the nose landing gear and its support structure needs to be evaluated. The impact of the towbarless towing on the certified life limits of the landing gear and supporting structure needs to be determined.
The fatigue spectra used in the evaluation should consist of typical service loads encountered during towbarless towing operations, which cover the loading scenarios noted above for static considerations. Furthermore, the spectra should be based on measured statistical data derived from simulated service operation or from applicable industry studies.
(d) Other considerations
Specific combinations of towbarless towing vehicle(s) and aircraft that have been assessed as described above and have been found to be acceptable, along with any applicable towing instructions and/or limitations should be specified in the Instructions for Continued Airworthiness as described in Appendix H, paragraph H25.3(a)(4) and in the Aeroplane Flight Manual as specified in AMC 25.745(d).
Aircraft braking, while the aircraft is under tow, may result in loads exceeding the aircraft’s design load and may result in structural damage and/or nose gear collapse. For these reasons, the aircraft manufacturer should ensure that the appropriate information is provided in the Aeroplane Maintenance Manual and in the Aeroplane Flight Manual to preclude aircraft braking during normal towbarless towing. Appropriate information should also be provided in the Instructions for Continued Airworthiness to inspect the affected structure should aircraft braking occur, for example in an emergency situation.
[Amdt 25/13]
CS 25.511 Ground load: unsymmetrical loads on multiple-wheel units
ED Decision 2003/2/RM
(a) General. Multiple-wheel landing gear units are assumed to be subjected to the limit ground loads prescribed in this Subpart under sub-paragraphs (b) through (f) of this paragraph. In addition –
(1) A tandem strut gear arrangement is a multiple-wheel unit; and
(2) In determining the total load on a gear unit with respect to the provisions of sub-paragraphs (b) through (f) of this paragraph, the transverse shift in the load centroid, due to unsymmetrical load distribution on the wheels, may be neglected.
(b) Distribution of limit loads to wheels; tyres inflated. The distribution of the limit loads among the wheels of the landing gear must be established for each landing, taxying, and ground handling condition, taking into account the effects of the following factors:
(1) The number of wheels and their physical arrangements. For truck type landing gear units, the effects of any see-saw motion of the truck during the landing impact must be considered in determining the maximum design loads for the fore and aft wheel pairs.
(2) Any differentials in tyre diameters resulting from a combination of manufacturing tolerances, tyre growth, and tyre wear. A maximum tyre-diameter differential equal to two-thirds of the most unfavourable combination of diameter variations that is obtained when taking into account manufacturing tolerances, tyre growth and tyre wear, may be assumed.
(3) Any unequal tyre inflation pressure, assuming the maximum variation to be ±5% of the nominal tyre inflation pressure.
(4) A runway crown of zero and a runway crown having a convex upward shape that may be approximated by a slope of 1·5% with the horizontal. Runway crown effects must be considered with the nose gear unit on either slope of the crown.
(5) The aeroplane attitude.
(6) Any structural deflections.
(c) Deflated tyres. The effect of deflated tyres on the structure must be considered with respect to the loading conditions specified in sub-paragraphs (d) through (f) of this paragraph, taking into account the physical arrangement of the gear components. In addition –
(1) The deflation of any one tyre for each multiple wheel landing gear unit, and the deflation of any two critical tyres for each landing gear unit using four or more wheels per unit, must be considered; and
(2) The ground reactions must be applied to the wheels with inflated tyres except that, for multiple-wheel gear units with more than one shock strut, a rational distribution of the ground reactions between the deflated and inflated tyres, accounting for the differences in shock strut extensions resulting from a deflated tyre, may be used.
(d) Landing conditions. For one and for two deflated tyres, the applied load to each gear unit is assumed to be 60% and 50%, respectively, of the limit load applied to each gear for each of the prescribed landing conditions. However, for the drift landing condition of CS 25.485, 100% of the vertical load must be applied.
(e) Taxying and ground handling conditions. For one and for two deflated tyres –
(1) The applied side or drag load factor, or both factors, at the centre of gravity must be the most critical value up to 50% and 40%, respectively, of the limit side or drag load factors, or both factors, corresponding to the most severe condition resulting from consideration of the prescribed taxying and ground handling conditions.
(2) For the braked roll conditions of CS 25.493(a) and (b)(2), the drag loads on each inflated tyre may not be less than those at each tyre for the symmetrical load distribution with no deflated tyres;
(3) The vertical load factor at the centre of gravity must be 60% and 50% respectively, of the factor with no deflated tyres, except that it may not be less than 1 g; and
(4) Pivoting need not be considered.
(f) Towing conditions. For one and for two deflated tyres, the towing load, FTOW, must be 60% and 50% respectively, of the load prescribed.
CS 25.519 Jacking and tie-down provisions
ED Decision 2003/2/RM
(a) General. The aeroplane must be designed to withstand the limit load conditions resulting from the static ground load conditions of sub-paragraph (b) of this paragraph and, if applicable, sub-paragraph (c) of this paragraph at the most critical combinations of aeroplane weight and centre of gravity. The maximum allowable load at each jack pad must be specified.
(b) Jacking. The aeroplane must have provisions for jacking and must withstand the following limit loads when the aeroplane is supported on jacks:
(1) For jacking by the landing gear at the maximum ramp weight of the aeroplane, the aeroplane structure must be designed for a vertical load of 1·33 times the vertical static reaction at each jacking point acting singly and in combination with a horizontal load of 0·33 times the vertical static reaction applied in any direction.
(2) For jacking by other aeroplane structure at maximum approved jacking weight:
(i) The aeroplane structure must be designed for a vertical load of 1·33 times the vertical reaction at each jacking point acting singly and in combination with a horizontal load of 0·33 times the vertical static reaction applied in any direction.
(ii) The jacking pads and local structure must be designed for a vertical load of 2·0 times the vertical static reaction at each jacking point, acting singly and in combination with a horizontal load of 0·33 times the vertical static reaction applied in any direction.
(c) Tie-down. If tie-down points are provided, the main tie-down points and local structure must withstand the limit loads resulting from a 120 km/h (65-knot) horizontal wind from any direction.