CS 25.561 General

ED Decision 2003/2/RM

(See AMC 25.561.)

(a) The aeroplane, although it may be damaged in emergency landing conditions on land or water, must be designed as prescribed in this paragraph to protect each occupant under those conditions.

(b) The structure must be designed to give each occupant every reasonable chance of escaping serious injury in a minor crash landing when –

(1) Proper use is made of seats, belts, and all other safety design provisions;

(2) The wheels are retracted (where applicable); and

(3) The occupant experiences the following ultimate inertia forces acting separately relative to the surrounding structure:

(i) Upward, 3·0g

(ii) Forward, 9·0g

(iii) Sideward, 3·0g on the airframe and 4·0g on the seats and their attachments

(iv) Downward, 6·0g

(v) Rearward, 1·5g (See AMC 25.561(b)(3).)

(c) For equipment, cargo in the passenger compartments and any other large masses, the following apply:

(1) These items must be positioned so that if they break loose they will be unlikely to:

(i) Cause direct injury to occupants;

(ii) Penetrate fuel tanks or lines or cause fire or explosion hazard by damage to adjacent systems; or

(iii) Nullify any of the escape facilities provided for use after an emergency landing.

(2) When such positioning is not practical (e.g. fuselage mounted engines or auxiliary power units) each such item of mass must be restrained under all loads up to those specified in sub-paragraph (b)(3) of this paragraph. The local attachments for these items should be designed to withstand 1·33 times the specified loads if these items are subject to severe wear and tear through frequent removal (e.g. quick change interior items).

(d) Seats and items of mass (and their supporting structure) must not deform under any loads up to those specified in sub-paragraph (b)(3) of this paragraph in any manner that would impede subsequent rapid evacuation of occupants. (See AMC 25.561(d).)

AMC 25.561 General

ED Decision 2003/2/RM

In complying with the provisions of CS 25.561(b) & (c), the loads arising from the restraint of seats and items of equipment etc. should be taken into the structure to a point where the stresses can be dissipated (e.g. for items attached to the fuselage floor, the load paths from the attachments through to the fuselage primary structure should be taken into account).

AMC 25.561(b)(3) Commercial Accommodation Equipment

ED Decision 2011/004/R

Commercial accommodation equipment complying only with FAR 25.561 pre-Amendment 25-91 need additional substantiation by analysis, tests or combination thereof to cover the 1·33 factor for their attachments as specified in CS 25.561(c).

[Amdt 25/11]

AMC 25.561(d) General

ED Decision 2003/2/RM

For the local attachments of seats and items of mass it should be shown by analysis and/or tests that under the specified load conditions, the intended retaining function in each direction is still available.

CS 25.562 Emergency landing dynamic conditions

ED Decision 2018/005/R

(See AMC 25.562)

(a) The seat and restraint system in the aeroplane must be designed as prescribed in this paragraph to protect each occupant during an emergency landing condition when –

(1) Proper use is made of seats, safety belts, and shoulder harnesses provided for in the design; and

(2) The occupant is exposed to loads resulting from the conditions prescribed in this paragraph.

(b) Each seat type design approved for occupancy must successfully complete dynamic tests or be demonstrated by rational analysis based on dynamic tests of a similar seat type, in accordance with each of the following emergency landing conditions. The tests must be conducted with an occupant simulated by a 77kg (170 lb) anthropomorphic, test dummy sitting in the normal upright position:

(1) A change in downward vertical velocity, (∆v) of not less than 10·7 m/s, (35 ft/s) with the aeroplane’s longitudinal axis canted downward 30 degrees with respect to the horizontal plane and with the wings level. Peak floor deceleration must occur in not more than 0·08 seconds after impact and must reach a minimum of 14 g.

(2) A change in forward longitudinal velocity (∆v) of not less than 13·4 m/s, (44 ft/s) with the aeroplane’s longitudinal axis horizontal and yawed 10 degrees either right or left, whichever would cause the greatest likelihood of the upper torso restraint system (where installed) moving off the occupant’s shoulder, and with the wings level. Peak floor deceleration must occur in not more than 0·09 seconds after impact and must reach a minimum of 16 g. With the exception of flight deck crew seats that are mounted in the forward conical area of the fuselage, where floor rails or floor fittings are used to attach the seating devices to the test fixture, the rails or fittings must be misaligned with respect to the adjacent set of rails or fittings by at least 10 degrees vertically (i.e. out of parallel) with one rolled 10 degrees.

(c) The following performance measures must not be exceeded during the dynamic tests conducted in accordance with sub-paragraph (b) of this paragraph:

(1) Where upper torso straps are used tension loads in individual straps must not exceed 794 kg. (1750lb) If dual straps are used for restraining the upper torso, the total strap tension loads must not exceed 907kg (2000 lb)).

(2) The maximum compressive load measured between the pelvis and the lumbar column of the anthropomorphic dummy must not exceed 680 kg. (1500lb)

(3) The upper torso restraint straps (where installed) must remain on the occupant’s shoulder during the impact.

(4) The lap safety belt must remain on the occupant’s pelvis during the impact.

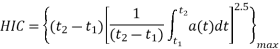
(5) Each occupant must be protected from serious head injury under the conditions prescribed in sub-paragraph (b) of this paragraph. Where head contact with seats or other structure can occur, protection must be provided so that the head impact does not exceed a Head Injury Criterion (HIC) of 1000 units. The level of HIC is defined by the equation –

Where –

t1 is the initial integration time,

t2 is the final integration time, and

a(t) is the total acceleration vs. time curve for the head strike, and where

(t) is in seconds, and (a) is in units of gravity (g).

(6) Where leg injuries may result from contact with seats or other structure, protection must be provided to prevent axially compressive loads exceeding 1021 kg (2250 lb) in each femur.

(7) The seat must remain attached at all points of attachment, although the structure may have yielded.

(8) Seats must not yield under the tests specified in sub-paragraphs (b)(1) and (b)(2) of this paragraph to the extent they would impede rapid evacuation of the aeroplane occupants.

[Amdt 25/15]

[Amdt 25/17]

[Amdt 25/21]

AMC 25.562 Emergency landing dynamic conditions

ED Decision 2020/024/R

FAA Advisory Circular (AC) 25.562-1B Change 1, Dynamic Evaluation of Seat Restraint Systems and Occupant Protection on Transport Airplanes, dated 30.9.2015, and FAA AC 20-146A, Methodology for Dynamic Seat Certification by Analysis for Use in Parts 23, 25, 27, and 29 Airplanes and Rotorcraft, dated 29.6.2018, are accepted by the Agency as providing acceptable means of compliance with CS 25.562.

[Amdt 25/17]

[Amdt 25/26]

CS 25.563 Structural ditching provisions

ED Decision 2003/2/RM

Structural strength considerations of ditching provisions must be in accordance with CS 25.801(e).