26.50 Seats, berths, safety belts, and harnesses

Regulation (EU) 2015/640

Operators of large aeroplanes used in commercial air transport, type certified on or after 1 January 1958, shall ensure that each flight or cabin crew member seat and its restraint system are configured in order to provide an optimum level of protection in an emergency landing whilst allowing the occupant’s necessary functions and facilitating rapid egress.

CS 26.50 Seats, berths, safety belts, and harnesses

ED Decision 2020/023/R

Compliance with point 26.50 of Part-26 is demonstrated by complying with CS 25.785(g), (h), (j) & (k) of CS-25, or equivalent or with the following:

(a) Each seat at a flight deck station is equipped with a combined safety belt and shoulder harness with a single-point release that permits the flight deck occupant, when seated with safety belt and shoulder harness fastened, to perform all of the occupant’s necessary flight deck functions. There must be a means to secure each combined safety belt and shoulder harness, when not in use, to prevent interference with the operation of the aeroplane and with rapid egress in an emergency. Shoulder harness and combined safety belt and shoulder harness that were approved and installed prior to 6 March 1980 may continue to be used. Safety belt and shoulder harness restraint systems may be designed to the inertia load factors established under the certification basis of the aeroplane.

(b) Each seat for a cabin crew member required by Part-ORO.CC.100, located in passenger compartments:

(1) is equipped with a restraint system consisting of a combined safety belt and shoulder harness unit with a single point release. Each combined safety belt and shoulder harness is equipped with a means to secure it, when not in use, to prevent interference with rapid egress in an emergency;

(2) to the extent possible, without compromising their proximity to required floor level emergency exits, is located to provide a direct view of the cabin area for which the cabin crew member is individually responsible, except that for aeroplanes with a certification basis prior to JAR 25.785 at Change 8 (or FAR Part 25, §25.785, at Amendment 25-51 respectively), cabin crew member seats need not be re-located to meet that condition if an indirect view into the passenger cabin is given by a mirror;

(3) is:

(i) either forward or rearward facing, with an energy absorbing rest that is designed to support the arms, shoulders, head, and spine; and

(ii) positioned so that when not in use they do not interfere with the use of passageways and exits.

Combined safety belt and shoulder harness that were approved and installed prior to 6 March 1980 may continue to be used. Safety belt and shoulder harness restraint systems may be designed to the inertia load factors established under the certification basis of the aeroplane.

(c) Each seat for a cabin crew member required by Part-ORO.CC.100, is located to minimise the probability of its occupant suffering injury by being struck by items dislodged in a galley, or from a stowage compartment or serving cart. All items expected in these locations in service are considered. (See GM1 26.50(c))

(d) Each occupant of a seat that makes more than an 18-degree angle with the vertical plane containing the aeroplane centreline is protected from head injury by a safety belt and an energy absorbing rest that will support the arms, shoulders, head and spine, or by a safety belt and shoulder harness that prevents the head from contacting any injurious object. Each occupant of any other seat is protected from head injury by a safety belt and, as appropriate to the type, location, and angle of facing of each seat, by one or more of the following:

(1) a shoulder harness that will prevent the head from contacting any injurious object;

(2) the elimination of any injurious object within striking radius of the head;

(3) an energy absorbing rest that will support the arms, shoulders, head, and spine.

[Issue: 26/3]

GM1 26.50(c) Cabin crew seat location with respect to injury risk

ED Decision 2015/013/R

AC 25.785-1B, Section 8 is applicable when showing compliance with CS 26.50(c).

26.60 Emergency landing – dynamic conditions

Regulation (EU) 2021/97

Operators of large aeroplanes used in commercial air transport of passengers, type-certified on or after 1 January 1958, and for which the individual certificate of airworthiness is first issued on or after 26 February 2021 shall demonstrate for each seat type design approved for occupancy during taxiing, take-off or landing that the occupant is protected when exposed to loads resulting from emergency landing conditions. The demonstration shall be made by one of the following means:

(a) successfully completed dynamic tests;

(b) rational analysis providing equivalent safety, based on dynamic tests of a similar seat type design.

The obligation set out in the first paragraph shall not apply to the following seats:

(a) flight deck crew seats;

(b) seats in low-occupancy aeroplanes involved only in on-demand non-scheduled commercial air transport operations;

(c) seats in an aeroplane model listed in Table A.1 of Appendix 1 and carrying a manufacturer serial number listed in that Table.

CS 26.60 Emergency landing – dynamic conditions

ED Decision 2020/023/R

Compliance with point 26.60 of Part-26 is demonstrated by complying with CS 25.562 of CS-25, or its equivalent, or with the following (see GM1 26.60):

(a) Each seat type design that is approved for occupancy during taxiing, take-off, or landing must successfully complete dynamic tests or be demonstrated by rational analysis based on dynamic tests of a similar type seat, in accordance with each of the following emergency landing conditions. The tests must be conducted with an occupant simulated by a 77 kg (170 lb) anthropomorphic test dummy sitting in the normal upright position. The tests must include:

(1) A change in the downward vertical velocity (v) of not less than 10.7 m/s (35 ft/s), with the aeroplane’s longitudinal axis canted downward at 30 degrees with respect to the horizontal plane, and with the wings level. The peak floor deceleration must occur in not more than 0.08 seconds after the impact, and reach a minimum of 14 g.

(2) A change in the forward longitudinal velocity (v) of not less than 13.4 m/s (44 ft/s), with the aeroplane’s longitudinal axis horizontal and yawed by 10 degrees either to the right or the left, whichever would cause the greatest likelihood of the upper torso restraint system (if one is installed) moving off the occupant’s shoulder, and with the wings level. The peak floor deceleration must occur in not more than 0.09 seconds after the impact, and it must reach a minimum of 16 g. If floor rails or floor fittings are used to attach the seating devices to the test fixture, the rails or fittings must be misaligned with respect to the adjacent set of rails or fittings by at least 10 degrees vertically (i.e. away from being parallel), with one rolled by 10 degrees.

(b) The following performance measures must not be exceeded during the dynamic tests that are conducted in accordance with subparagraph (a) of this paragraph:

(1) If upper torso straps are used, the tension loads in the individual straps must not exceed 794 kg (1 750 lb). If dual straps are used to restrain the upper torso, the total strap tension loads must not exceed 907 kg (2 000 lb).

(2) The maximum compressive load that is measured between the pelvis and the lumbar column of the anthropomorphic dummy must not exceed 680 kg (1 500 lb).

(3) The upper torso restraint straps (if installed) must remain on the occupant’s shoulder during the impact.

(4) The lap safety belt must remain on the occupant’s pelvis during the impact.

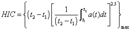
(5) Each occupant must be protected from serious head injury under the conditions that are prescribed in sub-paragraph (a) of this paragraph. Where head contact with seats or other structure can occur, protection must be provided so that the head impact does not exceed a Head Injury Criterion (HIC) of 1 000 units. The level of HIC is defined by the equation —

eCFR graphic ec28se91.044.gif

Where —

‘t1’ is the initial integration time,

 ‘t2’ is the final integration time, and

 ‘a(t)’ is the total acceleration vs time curve for the head strike, and where

‘(t)’ is in seconds, and ‘(a)’ is in units of gravity (g).

(6) Where leg injuries may result from contact with seats or other structures, protection must be provided to prevent axially compressive loads that exceed 1 021 kg (2 250 lb) in each femur.

(7) The seat must remain attached at all points of attachment, although the structure may have yielded.

(8) Seats must not yield under the tests that are specified in sub-paragraphs (a)(1) and (a)(2) of this paragraph to the extent that they would impede the rapid evacuation of the occupants of the aeroplane.

[Issue: 26/3]

GM1 26.60 Emergency landing – dynamic conditions

ED Decision 2019/006/R

AC 25.562-1B (dated 10 January 2006) may be used for showing compliance with CS 26.60.

[Issue: 26/2]

26.100 Location of emergency exits

Regulation (EU) 2015/640

Except for aeroplanes having an emergency exit configuration installed and approved prior to 1 April 1999, operators of large aeroplanes used in commercial air transport having a maximum operational passenger seating configuration of more than nineteen with one or more emergency exits deactivated shall ensure that the distance(s) between the remaining exits remains (remain) compatible with effective evacuation.

CS 26.100 Location of emergency exits

ED Decision 2020/023/R

Compliance with point 26.100 of Part-26 is demonstrated by complying with the following:

If one or more emergency exits are deactivated, the distance(s) between the remaining exits is (are) no more than 18.3 m (60 feet) from any adjacent passenger emergency exit on the same side of the same deck of the fuselage, as measured parallel to the aeroplane’s longitudinal axis between the nearest exit edges.

[Issue: 26/3]

26.105 Emergency exit access

Regulation (EU) 2015/640

Operators of large aeroplanes used in commercial air transport shall provide means to facilitate the rapid and easy movement of each passenger from their seat to any of the emergency exits in case of an emergency evacuation.

CS 26.105 Emergency exit access

ED Decision 2020/023/R

Compliance with point 26.105 of Part-26 is demonstrated by complying with CS 25.813(d) to (f) or equivalent, or with the following:

(a) Reserved.

(b) If it is necessary to pass through a passageway between passenger compartments to reach any required emergency exit from any seat in the passenger cabin, the passageway is unobstructed. However, curtains may be used if they allow free entry through the passageway.

(c) No door is installed in any partition between passenger compartments.

(d) If it is necessary to pass through a doorway separating the passenger cabin from other areas to reach any required emergency exit from any passenger seat, the door has a means to latch it in the open position. The latching means withstands the loads imposed upon it when the door is subjected to the ultimate inertia forces, relative to the surrounding structure, prescribed in CS 25.561(b), or equivalent, at the amendment level specified in the relevant Type Certificate Data Sheet, or equivalent document.

[Issue: 26/3]

26.110 Emergency exit markings

Regulation (EU) 2015/640

Operators of large aeroplanes used in commercial air transport shall comply with the following:

(a) means shall be provided to facilitate the location, access, and operation of emergency exits by cabin occupants under foreseeable conditions in the cabin in case of an emergency evacuation;

(b) means shall be provided to facilitate the location and operation of emergency exits by personnel on the outside of the aeroplane in case of an emergency evacuation.

CS 26.110 Emergency exit markings

ED Decision 2020/023/R

Compliance with point 26.110 of Part-26 is demonstrated by complying with CS 25.811(a) to (d), and (f)&(g), or equivalent, and CS 25.811(e) or equivalent, or with the following:

(a) Each passenger emergency exit, its means of access, and its means of opening are conspicuously marked.

(b) The identity and location of each passenger emergency exit is recognisable from a distance equal to the width of the cabin.

(c) Means are provided to assist the occupants in locating the exits in conditions of dense smoke.

(d) The location of each passenger emergency exit is indicated by a sign visible to occupants approaching along the main passenger aisle (or aisles). There is:

(1) a passenger emergency exit locator sign above the aisle (or aisles) near each passenger emergency exit, or at another overhead location if it is more practical because of low headroom, except that one sign may serve more than one exit if each exit can be seen readily from the sign;

(2) a passenger emergency exit marking sign next to each passenger emergency exit, except that one sign may serve two such exits if they can both be seen readily from the sign; and

(3) a sign on each bulkhead or divider that prevents fore and aft vision along the passenger cabin to indicate emergency exits beyond and obscured by the bulkhead or divider, except that if this is not possible, the sign may be placed at another appropriate location.

Each sign listed in this sub-paragraph may use the word ‘exit’ in its legend in place of the term ‘emergency exit’ or a universal symbolic exit sign. The design of the exit signs is chosen to provide a consistent set throughout the cabin. (See GM1 26.110(d))

(e) The location of the operating handle and instructions for opening exits from the inside of the aeroplane are clearly shown in the following manner:

(1) each passenger emergency exit has, on or near the exit, a marking that is readable from a distance of 76 cm (30 inches);

(2) each passenger emergency exit operating handle and the cover removal instructions, if the handle is covered, are:

(i) self-illuminated with an initial brightness of at least 0.51 candela/m2 (160 micro-lamberts); or

(ii) conspicuously located and well illuminated by the emergency lighting even in conditions of occupant crowding at the exit.

(3) Reserved

(4) All Type II and larger passenger emergency exits with a locking mechanism released by motion of a handle, are marked by a red arrow with a shaft at least 19 mm (0.75 inch) wide, adjacent to the handle, that indicates the full extent and direction of the unlocking motion required. The word OPEN is horizontally situated adjacent to the arrow head and is in red capital letters at least 25 mm (1 inch) high. The arrow and word OPEN are located on a background which provides adequate contrast. (See GM1 26.110(e)(4))

(f) Each emergency exit that is openable from the outside, and its means of opening is marked on the outside of the aeroplane. In addition, the following apply:

(1) The outside marking for each passenger emergency exit in the side of the fuselage includes one 5 cm (2 inch) coloured band outlining the exit.

(2) Each outside marking including the band, has colour contrast to be readily distinguishable from the surrounding fuselage surface. The contrast is such that if the reflectance of the darker colour is 15% or less, the reflectance of the lighter colour is at least 45%. ‘Reflectance’ is the ratio of the luminous flux reflected by a body to the luminous flux it receives. When the reflectance of the darker colour is greater than 15%, at least a 30% difference between its reflectance and the reflectance of the lighter colour is provided.

(3) In the case of exits other than those in the side of the fuselage, such as ventral or tail cone exits, the external means of opening, including instructions if applicable, are conspicuously marked in red, or bright chrome yellow if the background colour is such that red is inconspicuous. When the opening is located on only one side of the fuselage, a conspicuous marking to that effect is provided on the other side.

[Issue: 26/3]

GM1 26.110(d) Universal symbolic exit signs

ED Decision 2015/013/R

Guidance on the use of universal symbolic exit signs can be found in AMC 25.812(b)(1).

GM1 26.110(e)(4) Emergency Exit Markings

ED Decision 2015/013/R

The indicating markings for all Type II and larger passenger emergency exit unlocking handle motions should conform to the general shapes and dimensions indicated by Figures 1 and 2.

NOTE:  As far as is practicable the markings should be located to avoid obscuring viewing windows located on or alongside the exits, or coincidence with any other required marking or safety feature.

FIGURE 1

EXAMPLE MARKING FOR INDICATION OF LINEAR OPENING MOTION

Where practical and unambiguous arrow point and base of arrow shaft to be within ±25 mm (1 inch)

of fully unlocked and fully locked positions respectively

DIMENSIONS

A = 19 mm (0•75") minimum

B = 2 x A

C = B (recommended)

D = Indicative of the full extent of handle travel (each installation to be individually assessed)

FIGURE 2

EXAMPLE MARKING FOR INDICATION OF ROTARY OPENING MOTION

Arrow point and base of arrow shaft to be within ±25 mm (1 inch) of fully unlocked and fully locked positions respectively

DIMENSIONS

A = 19 mm (0•75") minimum

B = 2 x A

C = B (recommended)

D = Full extent of handle centreline travel

E = Three quarters of handle length (where practicable)

26.120 Interior emergency lighting and emergency light operation

Regulation (EU) 2015/640

Operators of large aeroplanes used in commercial air transport shall provide means to ensure that illuminated exit signage, general cabin and exit area illumination, and low level exit path illumination is available to facilitate the location of exits and movement of passengers to the exits in case of emergency evacuation.

CS 26.120 Interior emergency lighting and emergency light operation

ED Decision 2020/023/R

Compliance with point 26.120 of Part-26 is demonstrated by complying with CS 25.812 (b),(c),(d) and (h) of CS-25 or equivalent and CS 25.812 (a) and (e) of CS-25 or equivalent, or with the following:

(a) An emergency lighting system, independent of the main lighting system, is installed. However, sources of general cabin illumination may be common to both the emergency and the main lighting system if the power supply to the emergency lighting system is independent of the power supply to the main lighting system. The emergency lighting system includes:

(1) Illuminated emergency exit marking and locating signs, sources of general cabin illumination and interior lighting in emergency exit areas.

(2) for aeroplanes that have a maximum approved passenger seating configuration of more than 19, a floor proximity emergency escape path marking provides emergency evacuation guidance for passengers when all sources of illumination more than 1.22 m (4 feet) above the cabin aisle floor are totally obscured. In the dark of the night, the floor proximity emergency escape path marking enables each passenger to:

(i) after leaving the passenger seat, visually identify the emergency escape path along the cabin aisle floor to the first exits or pair of exits forward and aft of the seat;

(ii) readily identify each exit from the emergency escape path by reference only to markings and visual features not more than 1.22 m (4 feet) above the cabin floor.

(b) Except for lights forming part of the emergency lighting subsystems provided in compliance with Part CAT.IDE.A.275 (b)(4) and (5) that serve no more than one assist means, are independent of the aeroplane’s main emergency lighting systems, and are automatically activated when the assist means is deployed, each light required for interior and exterior emergency lighting:

(1) is operable manually both from the flight crew station and for aeroplanes on which a cabin crew member is required, from a point in the passenger compartment that is readily accessible from a normal cabin crew seat;

(2) has a means to prevent inadvertent operation of the manual controls;

(3) when armed or turned on at either station, remains lighted or becomes lighted upon interruption of the aeroplane’s normal electric power;

(4) provides the required level of illumination for at least 10 minutes at the critical ambient conditions after emergency landing;

(5) has a cockpit control device that has an ‘on’, ‘off’, and ‘armed’ position.

(c) In addition to subparagraphs (a), and (b) above, for an aeroplane which had its initial Certificate of Airworthiness issued prior to 1 December 2006, the following conditions are met:

(1) For an aeroplane for which the application for the type certificate was filed prior to 1 May 1972:

(i) Each passenger emergency exit marking and each locating sign has white letters at least 25 mm (1 inch) high on a red background at least 5 cm (2 inches) high. These signs may be internally electrically illuminated, or self-illuminated by other than electrical means, with an initial brightness of at least 0.509 cd/m2 (160 microlamberts). The colours may be reversed in the case of internally electrically illuminated signs if this will increase the illumination of the exit. On these aeroplanes, no sign may continue to be used if its luminescence (brightness) decreases to below 0.318 cd/m2 (100 microlamberts).

(ii) The sources of general cabin illumination provides enough general lighting in the passenger cabin so that the average illumination when measured at 102 cm (40-inch) intervals at seat armrest height, on the centreline of the main passenger aisle, is at least 0.54 lux (0.05 foot-candle).

(iii) The floor of the passageway leading to each floor level passenger emergency exit, between the main aisles and the exit openings is provided with illumination.

(2) For an aeroplane for which the application for the type certificate was filed on or after 1 May 1972, the interior emergency lighting specifications under which the aeroplane was type certificated. On these aeroplanes, no sign may continue to be used if its luminescence (brightness) decreases to below 0.796 cd/m2 (250 microlamberts).

(d) In addition to subparagraphs (a) and (b) above, for an aeroplane which had its initial Certificate of Airworthiness issued on or after 1 December 2006, and for which the application for the type certificate was filed prior to 1 May 1972, the following conditions are met:

(1) For an aeroplane that has a passenger seating configuration, excluding pilot seats, of:

(i) 10 seats or more, each passenger emergency exit locator sign and marking sign required by point 26.110(d) of Part-26 has red letters at least 38 mm (1 ½ inches) high on an illuminated white background, and has an area of at least 135 cm2 (21 square inches) excluding the letters. The lighted background-to-letter contrast is at least 10:1. The letter height to stroke-width ratio is not more than 7:1 nor less than 6:1. These signs are internally electrically illuminated with a background brightness of at least 86 cd/m2 (25 foot-lamberts) and a high-to-low background contrast no greater than 3:1. Other passenger emergency exit signs required by point 26.110(d) of Part-26 have red letters at least 38 mm (1 ½ inches) high on a white background having an area of at least 135 cm2 (21 square inches) excluding the letters. These signs are internally, electrically illuminated or self-illuminated by other than electrical means and have an initial brightness of at least 1.27 cd/m2 (400 microlamberts). The colours are reversed in the case of a sign that is self-illuminated by other than electrical means. On these aeroplanes, no sign continues to be used if its luminescence (brightness) decreases to below 0.796 cd/m2 (250 microlamberts).

(ii) 9 seats or less, passenger emergency exit signs that are required by point 26.110(d) of Part-26, have red letters at least 25 mm (1 inch) high on a white background at least 5 cm (2 inches) high. These signs may be internally electrically illuminated or self-illuminated by other than electrical means, with an initial brightness of at least 0.509 cd/m2 (160 microlamberts). The colours may be reversed in the case of a sign that is self-illuminated by other than electrical means. On these aeroplanes, no sign continues to be used if its luminescence (brightness) decreases to below 0.318 cd/m2 (100 microlamberts).

(2) General illumination in the passenger cabin is provided so that when measured along the centreline of the main passenger aisle(s), and cross aisle(s) between main aisles, at seat armrest height and at 102 cm (40-inch) intervals, the average illumination is not less than 0.54 lux (0.05 foot-candle) and the illumination at each 102 cm (40-inch) interval is not less than 0.11 lux (0.01 foot-candle). A main passenger aisle is considered to extend along the fuselage from the most forward passenger emergency exit or cabin occupant seat, whichever is farther forward, to the most rearward passenger emergency exit or cabin occupant seat, whichever is farther aft.

(3) The floor of the passageway leading to each floor-level passenger emergency exit, between the main aisles and exit openings, is provided with illumination that is not less than 0.22 lux (0.02 foot-candle) measured along a line that is within 15 cm (six inches) of and parallel to the floor and is centred on the passenger evacuation path.

(e) Each sign required by point 26.120 of Part-26 may use a universal symbolic exit sign. The design of the signs is chosen to provide a consistent set throughout the cabin. (See GM1 26.110(d))

[Issue: 26/3]

26.150 Compartment interiors

Regulation (EU) 2015/640

Operators of large aeroplanes used in commercial air transport shall comply with the following:

(a) all materials and equipment used in compartments occupied by the crew or passengers shall demonstrate flammability characteristics compatible with minimising the effects of in-flight fires and the maintenance of survivable conditions in the cabin for a time commensurate with that needed to evacuate the aircraft;

(b) smoking prohibition shall be indicated with placards;

(c) disposal receptacles shall be such that containment of an internal fire is ensured; such receptacles shall be marked to prohibit the disposal of smoking materials.

CS 26.150 Compartment interiors

ED Decision 2020/023/R

Compliance with point 26.150 of Part-26 is demonstrated by complying with CS 25.853 and Appendix F or equivalent, CS 25.853(e) or equivalent and CS 25.791 or equivalent or with the following:

For each compartment occupied by the crew or passengers the following apply:

(a) Upon any major replacement of any individual group of components as specified in Appendix F, Part I, sub-paragraph (a)(1)(i), such as interior ceiling panels, wall panels, etc., this individual group of components complies with Appendix F, Part I, of this CS-26. (See GM1 26.150(a))

(b) Seat cushions, except those on flight crew member seats, on large aeroplanes, type certificated after 1 January 1958, comply with the fire protection specifications of Appendix F, Part II.

(c) (1) Heat release (other than for lavatory interiors or flight deck), for interior ceiling and wall panels (other than lighting lenses), partitions, and the outer surfaces of galleys, large cabinets and stowage compartments (other than underseat stowage compartments and compartments for stowing small items, such as magazines and maps), in large aeroplanes which had their initial Certificate of Airworthiness issued on or after 20 August 1988, but prior to 20 August 1990, and having a MOPSC of more than 19, comply with the heat release rate testing provisions of Appendix F Part IV, except that the total heat release over the first two minutes of sample exposure does not exceed 100 kilowatt-minutes per square metre, and the peak heat release rate does not exceed 100 kilowatts per square metre.

(2) Heat release and smoke density (other than for lavatory interiors or flight deck) for interior ceiling and wall panels (other than lighting lenses), partitions, and the outer surfaces of galleys, large cabinets and stowage compartments (other than underseat stowage compartments and compartments for stowing small items, such as magazines and maps), in large aeroplanes, having a MOPSC of more than 19, which had their initial Certificate of Airworthiness issued on or after 20 August 1990, comply with the heat release and smoke density specifications of Appendix F Parts IV and V. (See GM1 26.150(c))

(d) Large aeroplanes having a MOPSC of more than 19, Type Certificated after 1 January 1958 upon the first substantially complete replacement of the cabin interior components, (i.e. interior ceiling and wall panels (other than lighting lenses), partitions, and the outer surfaces of galleys, large cabinets and stowage compartments (other than underseat stowage compartments and compartments for stowing small items, such as magazines and maps)), comply with the heat release and smoke density specifications of Appendix F Parts IV and V. (See GM1 26.150(d))

(e) Smoking prohibition is indicated by a placard so stating.

(f) Each disposal receptacle for towels, paper or waste is fully enclosed and constructed of materials adequate in resistance to fire such that any fire likely to occur in it under normal use is contained. The ability of the disposal receptacle to contain those fires under all probable conditions of wear, misalignment, and ventilation expected in service is demonstrated by test unless appropriate maintenance tasks are put in place to ensure that excess wear or misalignment are quickly repaired. A placard containing the legible words or symbology indicating ‘No Cigarette Disposal’ is located on or near each disposal receptacle door.

[Issue: 26/3]

GM1 26.150(a) Compartment interiors

ED Decision 2015/013/R

‘Major Replacement’: More than 50% of any component types affected in the cabin are replaced. For example, 51% of the sidewall panels, or 51% of the ceiling panels.

GM1 26.150(c) Compartment interiors

ED Decision 2015/013/R

Galley carts and containers are considered as ‘open galley surfaces’ and therefore are subject to the same requirements as galleys in this respect, namely CS 26.150(c). However, because of the rotatable nature of these components, and their limited lifespan, it is permissible to use galley carts and containers manufactured prior to 20/08/1990.

GM1 26.150(d) Compartment interiors

ED Decision 2015/013/R

‘Complete Replacement’: All of the affected components in the cabin are replaced. Whether the other components that are not affected are replaced is not relevant.

1 The qualifying word ‘substantially’ may be used to avoid operators avoiding compliance by not replacing a minor, inconsequential cabin component and stating that there had not been a ‘complete replacement’.

2 The definition does, therefore, permit individual replacement of cabin interior components without the mandatory replacement of all components at the same time. It should also be noted that removing components for refinishing and reinstalling them in the same aeroplane, or in a different aeroplane not subject to more stringent requirements, is considered ‘refurbishment’ and not ‘replacement’.

26.155 Flammability of cargo compartment liners

Regulation (EU) 2015/640

Operators of large aeroplanes used in commercial air transport, type certified after 1 January 1958, shall ensure that the liners of Class C or Class D cargo compartments are constructed of materials that adequately prevent the effects of a fire in the compartment from endangering the aircraft or its occupants.

CS 26.155 Flammability of cargo compartment liners

ED Decision 2020/023/R

Compliance with point 26.155 of Part-26 is demonstrated by complying with CS 25.855 & Appendix F Part III, or equivalent or with the following:

(a) Large aeroplanes, Type Certificated after 1 January 1958, with Class C or D compartment, greater than 5.66 m3 (200 cubic feet) have ceiling and sidewall liner panels which are constructed of:

(1) glass fibre reinforced resin, or

(2) materials which meet the flame penetration test specifications of Appendix F Part III, or other equivalent methods, or

(3) aluminium (only in the case of aluminium liner installations approved prior to 1 July 1989).

(b) For compliance with this paragraph, the term ‘liner’ includes any design features, such as a joint or fastener which would affect the capability of the liner to safely contain a fire.

[Issue: 26/3]

26.156 Thermal or acoustic insulation materials

Regulation (EU) 2019/133

Operators of large aeroplanes used in commercial air transport, type certified on or after 1 January 1958, shall ensure that:

(a) for aeroplanes for which the first individual certificate of airworthiness is issued before 18 February 2021, when new thermal or acoustic insulation materials are installed as replacements on or after 18 February 2021, those new materials have flame propagation resistance characteristics which prevent or reduce the risk of flame propagation in the aeroplane;

(b) for aeroplanes for which the first individual certificate of airworthiness is issued on or after 18 February 2021, thermal and acoustic insulation materials have flame propagation resistance characteristics which prevent or reduce the risk of flame propagation in the aeroplane;

(c) for aeroplanes for which the first individual certificate of airworthiness is issued on or after 18 February 2021 and with a passenger capacity of 20 or more, thermal and acoustic insulation materials (including the means of fastening the materials to the fuselage) installed in the lower half of the aeroplane have flame penetration resistance characteristics which prevent or reduce the risk of flame penetration into the aeroplane after an accident and which ensure survivable conditions in the cabin for a time needed to evacuate the aeroplane.

CS 26.156 Thermal/acoustic insulation materials

ED Decision 2020/023/R

(a) Compliance with point 26.156(a) of Part-26 is demonstrated by complying with CS 25.856(a), or its equivalent.

(b) Compliance with point 26.156(b) of Part-26 is demonstrated by complying with CS 25.856(a), or its equivalent.

(c) Compliance with point 26.156(c) of Part-26 is demonstrated by complying with CS 25.856(b), or its equivalent.

[Issue: 26/3]

GM1 26.156(a) Insulation materials installed as replacement

ED Decision 2020/023/R

The requirement of point 26.156(a) of Part-26 is applicable to insulation materials which are:

1. of a blanket construction, or

2. installed around air ducting

[Issue: 26/3]

26.157 Conversion of Class D compartments

Regulation (EU) 2022/1254

Operators of large aeroplanes used in commercial air transport, type certified on or after 1 January 1958, except for operators of an aeroplane model listed in Table A.1 of Appendix 1 to this Annex, shall ensure that:

(a) for aeroplanes, the operation of which involves the transport of passengers, each Class D cargo or baggage compartment, regardless of its volume, complies with the certification specifications applicable to a Class C compartment;

(b) for aeroplanes, the operation of which involves the transport of cargo only, each Class D cargo compartment, regardless of its volume, complies with the certification specifications applicable to either a Class C or a Class E compartment.

CS 26.157 Conversion of Class D compartments

ED Decision 2020/023/R

(a) Compliance with point 26.157(a) of Part-26 is demonstrated by showing compliance with CS 25.857(c) and CS 25.858, or the equivalent.

(b) Compliance with point 26.157(b) of Part-26 is demonstrated by showing compliance with:

(1) either CS 25.857(c) and CS 25.858, or the equivalent; or

(2) CS 25.857(e) and CS 25.858, or the equivalent.

[Issue: 26/3]

26.160 Lavatory fire protection

Regulation (EU) 2015/640

Operators of large aeroplanes used in commercial air transport with a maximum operational passenger seating configuration of more than 19 shall comply with the following:

Lavatories shall be equipped with:

(a) smoke detection means;

(b) means to automatically extinguish a fire occurring in each disposal receptacle.

CS 26.160 Lavatory fire protection

ED Decision 2020/023/R

Compliance with point 26.160 of Part-26 is demonstrated by complying with CS 25.854, or equivalent or with the following:

(a) Each lavatory is equipped with a smoke detector system or equivalent that provides a warning light in the cockpit, or provides a warning light or audible warning in the passenger cabin that would be readily detected by a cabin crew member; and

(b) Each lavatory is equipped with a built-in fire extinguisher for each disposal receptacle for towels, paper, or waste, located within the lavatory. The extinguisher is designed to discharge automatically into each disposal receptacle upon occurrence of a fire in that receptacle.

[Issue: 26/3]

26.170 Fire extinguishers

Regulation (EU) 2019/133

Operators of large aeroplanes shall ensure that the following extinguishers do not use halon as an extinguishing agent:

(a) built-in fire extinguishers for each lavatory waste receptacle for towels, paper or waste in large aeroplanes for which the first individual certificate of airworthiness is issued on or after 18 February 2020;

(b) portable fire extinguishers in large aeroplanes for which the first individual certificate of airworthiness is issued on or after 18 May 2019.

CS 26.170 Fire extinguishers

ED Decision 2020/023/R

Compliance with point 26.170 of Part-26 is demonstrated by complying with the following (see also GM1 26.170(b)):

(a) the extinguishing agent that is used in a built-in fire extinguisher for a lavatory waste receptacle or in a portable fire extinguisher for cabins and crew compartments must not be one of the agents that are listed in Annex A — Group II: Halons (halon 1211, halon 1301, and halon 2402) of ‘The Montreal Protocol on Substances that Deplete the Ozone Layer’, 8th Edition, 2009;

(b) the agent in any fire extinguisher must be acceptable, and be of a kind and in a quantity that is appropriate for the kinds of fire that are likely to occur in the compartment where the extinguisher is intended to be used;

(c) any agent that is used in a personnel compartment or that is likely to enter a personnel compartment must be selected to minimise the hazard of a toxic gas concentration; and

(d) a discharge of the extinguisher must not cause any structural damage.

[Issue: 26/3]

GM1 26.170(b) Fire extinguishers

ED Decision 2019/006/R

1 LAVATORY FIRE EXTINGUISHERS

Appendix D to Report DOT/FAA/AR-96/122 ‘Development of a Minimum Performance Standard for Lavatory Trash Receptacle Automatic Fire Extinguishers’ of February 1997 may be used for showing compliance with CS 26.170(b).

General guidance on the alternative extinguishing agents that are considered to be acceptable can be found in AMC 25.851(c).

2 HANDHELD FIRE EXTINGUISHERS

Society of Automotive Engineers (SAE) Aerospace Standard (AS) 6271 ‘Halocarbon Clean Agent Hand-Held Fire Extinguisher’ or European Technical Standard Order (ETSO) 2C515 ‘Aircraft Halocarbon Clean Agent — Handheld Fire Extinguisher’ may be used for showing compliance with CS 26.170(b).

General guidance on the alternative extinguishing agents that are considered to be acceptable can be found in AMC 25.851(c).

[Issue: 26/2]

26.200 Landing gear aural warning

Regulation (EU) 2015/640

Operators of large aeroplanes used in commercial air transport shall ensure that an appropriate landing gear aural warning device is installed in order to significantly reduce the likelihood of landings with landing gear inadvertently retracted.

CS 26.200 Landing gear aural warning

ED Decision 2020/023/R

Compliance with point 26.200 of Part-26 is demonstrated by complying with CS 25.729, or equivalent or with the following:

(a) Large aeroplanes have a landing gear aural warning device that functions continuously under the following conditions:

(1) For aeroplanes with an established approach flap position, whenever the flaps are extended beyond the maximum certificated approach climb configuration position in the Aeroplane Flight Manual and the landing gear is not fully extended and locked.

(2) For aeroplanes without an established approach climb flap position, whenever the flaps are extended beyond the position at which landing gear extension is normally performed and the landing gear is not fully extended and locked.

(b) The warning system of sub-paragraph (a) of this paragraph:

(1) does not have a manual shut-off means readily available to the flight crew such that it could be operated instinctively, inadvertently or by habitual reflexive action;

(2) is, in addition to the throttle-actuated device, installed under the airworthiness type certification specifications; and

(3) may utilise any part of the throttle-actuated system, including the aural warning device.

(c) The flap position sensing unit may be installed at any suitable place in the aeroplane.

[Issue: 26/3]

26.201 Tyre inflation pressure

Regulation (EU) 2022/1254

Operators of large aeroplanes shall minimise the risk of a tyre being below its minimum serviceable inflation pressure during operation.

CS 26.201 Tyre inflation pressure

ED Decision 2022/019/R

Compliance with point 26.201 of Part-26 is demonstrated by complying with CS 25.733(f) of CS-25 or its equivalent, or with the following:

(a) ‘Minimum serviceable inflation pressure’ means a tyre inflation pressure specified by the aeroplane type certificate holder below which damage to the tyre, potentially leading to a tyre failure, may occur.

(b) The operator ensures that one, or a combination, of the following means is (are) used:

(1)  A task is incorporated in the aeroplane maintenance programme (AMP) that requires tyres inflation pressure checks to be performed at a suitable time interval.

(2)  The aeroplane is equipped with an installed system that monitors the tyres inflation pressures and that:

(i) provides an alert to the flight crew whenever a tyre inflation pressure is below the minimum serviceable inflation pressure, or

(ii)  allows the tyres inflation pressures to be checked prior to the dispatch of the aeroplane, and a tyre inflation pressure check task is included in the pre-flight procedures of the operations manual.

(c) Tyre inflation pressure checks in the AMP

A ‘suitable time interval’ is the maximum time interval between two consecutive tyre inflation pressure checks.

These pressure checks are conducted daily in order to ensure that the elapsed clock time between two consecutive tyre inflation pressure checks does not exceed 48 hours.

Time intervals longer than 48 hours may be used if they are substantiated and agreed by the competent authority. This substantiation includes at least an analysis of the expected loss of tyre pressure during operation, taking into account environmental and operational factors, including the potential for pressure loss at a rate that exceeds the normal diffusion resulting from damage to or degradation of the tyre/wheel assembly. If available, statistical data related to pressure losses gathered from the service experience of aeroplanes equipped with equivalent wheel designs may also be used. The substantiation is made in cooperation with the tyre manufacturer(s). In addition, the operator may take credit from an installed system monitoring the tyre inflation pressures.

The time interval does not exceed the applicable value provided by the type certificate holder in the instructions for continued airworthiness.

(d) Tyre pressure monitoring system

If a tyre pressure monitoring system is installed, its development assurance level is commensurate with the potential consequences of an alert not being provided, as well as with the consequences of false alerts. If the system includes the indication of tyre pressure levels, the consequences of a false indication are also taken into account. The assessment of these consequences includes the effects of the failure of one or more tyres (including simultaneous tyre failures) that may be caused by the operation of the aeroplane with under-inflated tyres.

Tasks are included as necessary in the AMP (taking into account the instructions for continued airworthiness provided by the design approval holder) to ensure that the calibration of the tyre pressure monitoring system is maintained.

[Issue: 26/4]

26.205 Runway overrun awareness and alerting systems

Regulation (EU) 2020/1159

(a) Operators of large aeroplanes used in commercial air transport shall ensure that every aeroplane for which the first individual certificate of airworthiness was issued on or after 1 January 2025, is equipped with a runway overrun awareness and alerting system.

(b) This system shall be designed in a manner allowing to reduce the risk of a longitudinal runway excursion during landing by providing an alert, in-flight and on the ground, to the flight crew when the aeroplane is at risk of not being able to stop within the available distance to the end of the runway.

CS 26.205 Runway overrun awareness and alerting systems

ED Decision 2020/023/R

Compliance with point 26.205 of Part-26 is demonstrated by showing compliance with CS 25.705, or with the following:

(a) During approach (from a given height above the selected runway) and landing, the runway overrun awareness and alerting system (ROAAS) shall perform real-time energy-based calculations of the predicted landing stopping point, compare that point with the location of the end of the runway, and provide the flight crew with:

(1) in-flight, timely, and unambiguous predictive alert(s) of a runway overrun risk; and

(2) on-ground, timely, and unambiguous predictive alert(s) of a runway overrun risk. At the option of the applicant, the ROAAS may also provide an automated means of deceleration control that prevents or minimises runway overruns during landing.

(b) The ROAAS must at least accommodate dry and wet runway conditions for normal landing configurations.

[Issue: 26/3]

GM1 26.205 Runway overrun awareness and alerting systems

ED Decision 2020/023/R

(a) When demonstrating compliance with CS 26.205, the applicant should take account of EUROCAE Document ED-250 ‘Minimum Operational Performance Standard for a Runway Overrun Awareness and Alerting System’ dated December 2017.

(b) When demonstrating the compliance of the ROAAS with CS 25.1581 and CS 25.1585 or equivalent specifications, the applicant should include in the aeroplane flight manual the following elements:

(1) A description of the runway overrun awareness and alerting system (ROAAS) operational domain, including all the conditions in which the ROAAS is expected to perform its intended function,

(2) Any operational limitations applicable to the ROAAS, and

(3) Operational procedures to be used by the flight crew when ROAAS alerts are triggered.

[Issue: 26/3]

26.250 Flight crew compartment door operating systems — single incapacitation

Regulation (EU) 2015/640

Operators of large aeroplanes used in commercial air transport shall ensure that flight crew compartment door operating systems, where installed, be provided with alternate opening means in order to facilitate access by cabin crew members into the flight crew compartment in the case of a single flight crew member incapacitation.

26.300 Continuing structural integrity programme for ageing aeroplanes structures — general requirements

Regulation (EU) 2020/1159

(a) A holder of a type-certificate (TC) or a restricted TC for a turbine-powered large aeroplane certified on or after 1 January 1958, for which the application for TC was submitted before 1 January 2019, shall establish a continuing structural integrity programme for ageing aeroplane structures, which shall comply with the requirements set out in points 26.301 to 26.309.

(b) Paragraph (a) shall not apply to an aeroplane model, which was issued with a type-certificate before 26 February 2021 and which meets any of the following conditions:

(i) it is listed in Table A.1 of Appendix 1 of this Annex;

(ii) it is not operated anymore after 26 February 2021;

(iii) it has not been certified to conduct civil operation with a payload or passengers;

(iv) it has a restricted TC issued before 26 February 2021 in accordance with damage tolerance requirements, provided that it is not operated beyond 75 % of its design service goal and is primarily operated in support of the approval holders manufacturing operation;

(v) it is certified with a restricted TC and is designed primarily for firefighting.

The exceptions provided for in paragraph (b)(ii) to (b)(v) shall apply only after the holder of a type-certificate (TC) or a restricted TC submits to the Agency before 27 May 2021 for approval a list identifying the aeroplane type and models, variations or serial numbers together with information supporting the reasons why the aeroplane has been included in the list.

(c) For an aeroplane model which was issued with a first type-certificate before 26 February 2021 and for which an existing change or repair is not and will not be incorporated in any aeroplane in operation on and after 26 February 2022, paragraphs (a)(ii) and (a)(iii) of point 26.307 and paragraph (a)(ii) of point 26.308 shall not apply if before 26 February 2022 the holder of a type-certificate (TC) or a restricted TC submits to the Agency for the approval the list of all changes and repairs.

CS 26.300(c), 26.330(c) and (d) Substantiation of change and repair status

ED Decision 2020/023/R

Compliance with points 26.300(c), 26.330(c) and 26.330(d) of Part-26 is demonstrated by complying with points (a) or (b) of this CS:

(a) The change or repair is only applicable to an aeroplane that is demonstrated to be excluded from the ageing aeroplane requirements for damage tolerance in accordance with points 26.300(b) or 26.330(b) of Part-26.

(b) Evidence is provided showing that the change or repair is only incorporated into aeroplanes not in operation after:

(1) 26 February 2022 for demonstration of compliance with point 26.300(c) of Part-26; or

(2) 26 August 2022 for demonstration of compliance with point 26.330(c) of Part-26,

and it is demonstrated that such change or repair will not be incorporated into any other aeroplanes.

[Issue: 26/3]

GM1 26.300(b) and 26.330(b) Guidance on applicability

ED Decision 2020/023/R

Any product for which the TC has been surrendered is not subject to points 26.300 to 26.334 of Part-26.

For aeroplane models with an EASA TC, the wording ‘not operated any more’ means that no aeroplanes of that model are operated anywhere in the world after 26 February 2021.

The following non-exhaustive list provides examples of how to demonstrate that an aeroplane model is not operated any more:

 Provide evidence that all the examples of that aeroplane model have been scrapped;

 Provide evidence that all the remaining examples of that aeroplane model are no longer in airworthy condition and are not expected to return to service in the future (e.g. permanent storage for the purpose of being transferred to a museum or scrapped).

[Issue: 26/3]

GM1 26.300(c) and 26.330(c) Substantiation of change and repair status

ED Decision 2020/023/R

The demonstration that a change or repair will not be incorporated into any other aeroplane can be achieved by:

(a) providing evidence that there are no available kits for such changes or repairs; or

(b) providing evidence that if kits are available, they will not be sold; or

(c) ensuring that no future production of such change/repair kits is permitted; or

(d) limiting the applicability of the changes and repairs subject to point 26.300(c) of Part-26 by updating the associated instructions for continued airworthiness.

[Issue: 26/3]

26.301 Compliance Plan for (R)TC holders

Regulation (EU) 2020/1159

(a) A holder of a type-certificate (TC) or a restricted TC for a turbine-powered large aeroplane certified on or after 1 January 1958, for which the application for TC was submitted before 1 January 2019, shall:

(i) establish a compliance plan for continuing structural integrity that describes the planned demonstration of compliance with the requirements set out in points 26.302 to 26.309;

(ii) submit the compliance plan for continuing structural integrity referred in paragraph (i) to the Agency before 27 May 2021 for approval.

(b) An applicant for a TC or restricted TC referred to in letter (c) of Article 1 paragraph 2 shall:

(i) establish a compliance plan for continuing structural integrity that describes the planned demonstration of compliance with the requirements set out in points 26.303 to 26.306;

(ii) submit the compliance plan for continuing structural integrity referred to in paragraph (i) to the Agency before 27 May 2021 or, before the issuance of the certificate, if it occurs later, for approval.

CS 26.301 Compliance plan for (R)TC holders and applicants

ED Decision 2020/023/R/R

Compliance with point 26.301 of Part-26 is demonstrated when a compliance plan exists that includes the following:

(a) a project schedule identifying all the major milestones for meeting the compliance dates as specified in points 26.302 to 26.309 of Part-26, as applicable;

(b) a proposed means of compliance with the applicable requirements as specified in points 26.302 to 26.309 of Part-26, including as appropriate, methods and procedures for:

(1) performing the damage tolerance evaluation (DTE) of baseline structure, modified structure and published repairs;

(2) identifying the aeroplane structural configuration to be evaluated;

(3) identifying widespread fatigue damage (WFD)-susceptible structure;

(4) identifying the source of engineering data that will be used to perform the required evaluations;

(5) performing the WFD evaluation of structure;

(6) establishing a limit of validity (LOV) and plans for distribution upon approval (including incorporation of the LOV into the (airworthiness limitation section) ALS);

(7) identifying and developing the maintenance actions required to support the LOV;

(8) developing a baseline corrosion prevention and control programme (CPCP);

(9) establishing a process to ensure the continuing structural integrity programme remains valid;

(10) establishing the list of fatigue-critical baseline structures (FCBSs);

(11) developing the repair evaluation guidelines (REGs);

(c) a plan for submitting a draft of all the required compliance items for review by EASA not less than 60 days before the applicable compliance date.

[Issue: 26/3]

26.302 Fatigue and damage tolerance evaluation

Regulation (EU) 2020/1159

(a) A holder of a type-certificate (TC) or a restricted TC, for a turbine-powered large aeroplane certified to carry 30 passengers or more, or with a payload capacity of 3 402 kg (7 500 lbs) or more, certified on or after 1 January 1958, for which the application for TC was submitted before 1 January 2019, shall carry out a fatigue and damage tolerance evaluation of the aeroplane structure and develop the DTI that will avoid catastrophic failures due to fatigue throughout the operational life of the aeroplane.

(b) Unless the documentation describing the DTI referred to in paragraph (a) have already been approved by the Agency in accordance with Annex I (Part 21) to Regulation (EU) No 748/2012, the holder of a TC or a restricted TC shall submit that documentation to the Agency before 26 February 2023 for approval.

CS 26.302 Fatigue and damage tolerance evaluation

ED Decision 2020/023/R

Compliance with point 26.302 of Part-26 is demonstrated by complying with CS 25.571 Amendment 19, or subsequent amendment, or with points (a) or (b) of this CS:

(a) For aeroplane structures certified on the basis of JAR 25.571 Change 6 or 14 CFR §25.571 Amendment 44 or equivalent, or earlier amendments, a fatigue and damage tolerance evaluation according to JAR 25.571 Change 7 or 14 CFR §25.571 Amendment 45 or equivalent, or later amendment, exists, except that residual strength loads may be based upon the fail-safe load cases of the original certification basis. In addition, the inspection and other procedures resulting from this evaluation:

(1) are contained in an existing ALS; or

(2) are contained in a supplemental structural inspection document (SSID) mandated by an airworthiness directive (AD).

In both cases, the documentation includes the time in flight cycles, flight hours or another relevant measure by which the actions within the ALS/SSID are implemented.

(b) For aeroplane structures certified on the basis of JAR 25.571 Change 7 or 14 CFR §25.571 Amendment 45 or equivalent, or later amendments: the inspections or other procedures resulting from the DTE required by that certification basis are included in the ALS.

[Issue: 26/3]

26.303 Limit of Validity

Regulation (EU) 2020/1159

(a) A holder of a type-certificate (TC) or a restricted TC, for a turbine-powered large aeroplane certified on or after 1 January 1958, for which the application for TC was submitted before 1 January 2019, certified with a maximum take-off weight (MTOW) greater than 34 019 kg (75 000 lbs), shall:

(i) establish a limit of validity (LOV) and include that LOV in an amended ALS;

(ii) identify existing and new maintenance actions upon which the LOV depends, and develop service information necessary for operators to implement those maintenance actions and submit the service information for the maintenance actions to the Agency in accordance with a binding schedule agreed with the Agency.

The aeroplane structural configurations to be evaluated for the purpose of establishing the LOV shall include all model variations and derivatives approved under the TC before 26 February 2021 and all structural changes and replacements to the structural configurations of those aeroplanes that are required by an airworthiness directive issued before 26 February 2021.

By way of derogation from paragraph (a)(ii), a holder of a type-certificate (TC) or a restricted TC for a turbine- powered large aeroplane shall not be required to develop and submit to the Agency the service information for a maintenance action applicable to an aeroplane model which will not be operated anymore after the scheduled point of submittal for the service information of that maintenance action. For this exception to take effect, the holder of a type-certificate (TC) or a restricted TC shall inform the Agency not later than the date at which the aeroplane model ceases operation.

(b) The holder of the type-certificate (TC) or the restricted TC shall submit the LOV established in accordance with paragraph (a) and the amendment to the ALS referred to in that paragraph together with the binding schedule to the Agency, before the deadlines established in paragraphs (i) to (iii), for approval:

(i) 26 August 2022 for fatigue critical structure with a certification basis that does not include a damage tolerance evaluation;

(ii) 26 February 2026 for aeroplane structure subject to ongoing full-scale fatigue testing at the date of the applicability of this amending Regulation;

(iii) 26 February 2025 for all other aeroplane structures.

(c)  An applicant for a TC or restricted TC as referred in letter (c) of Article 1 paragraph 2, for a turbine-powered large aeroplane with a maximum take-off weight (MTOW) greater than 34 019 kg (75 000 lbs), shall:

(i) establish a limit of validity (LOV) and include that LOV in the ALS;

(ii) identify existing and new maintenance actions upon which the LOV depends, and develop service information necessary for operators to implement those maintenance actions and submit the service information for the maintenance actions to the Agency in accordance with a binding schedule agreed with the Agency.

(d) The applicant for a TC or restricted TC as referred in letter (c) of Article 1 paragraph 2 shall submit the LOV established in accordance with paragraph (c) and the ALS referred to in that paragraph together with the binding schedule to the Agency, for approval.

(e) The following deadlines shall apply to the obligations referred to in paragraph (d)

(i) before the date approved by the Agency in the plan of the applicant for completing tests and analyses of any aeroplane structure requiring new full-scale fatigue testing to support establishment of the LOV;

(ii) before 26 February 2025 for all other aeroplane structures.

CS 26.303(a) and (c) Limit of validity

ED Decision 2020/023/R

Compliance with points 26.303(a) and (c) of Part-26 is demonstrated by complying with CS 25.571 Amendment 19, or subsequent amendment, or with the following:

(a) The evaluation supporting the LOV required by point 26.303 of Part-26 includes a substantiation that WFD will not occur in the aeroplane structure. An ALS exists and includes the LOV of each aeroplane structural configuration required by point 26.303 of Part-26 and each LOV is supported by sufficient test evidence, analysis and, if available, service experience and teardown inspection results of high-time aeroplanes of similar structural design, accounting for differences in operating conditions and procedures. Where the certification basis of the aeroplane includes mixed requirements with respect to the CS/CFR Part 25/JAR 25.571 amendment status, the earliest amendment is used to define the compliance times.

(b) A list is established of all the maintenance actions upon which the LOV is dependent. The list identifies existing mandated actions, existing actions that have not been mandated at the date of entry into force of the rule and any new maintenance actions required. A schedule for the development and submission of the maintenance actions to EASA is agreed by EASA prior to the approval of the LOV. For compliance times, refer to points 26.303(b) or 26.303(d) and 26.303(e) of Part-26, as applicable. The new maintenance actions are established, and, together with the existing non-mandated actions, are submitted to EASA for approval according to the schedule agreed by EASA.

(c) Additional means of compliance are provided by Paragraph 8 of and Appendix 2 to AMC 20-20A.

[Issue: 26/3]

GM1 26.303(a) Derogation from point (a)(ii)

ED Decision 2020/023/R

Compliance with point 26.303(a)(ii) of Part-26 is not required if the holder of the (R)TC demonstrates that the aeroplane models affected by the service information for a maintenance action will not be operated any more after the scheduled point of submittal for the service information of that maintenance action.

The wording ‘not operated any more’ means that no aeroplanes of that model are operated anywhere in the world after the scheduled point of submittal of the service information.

The following non-exhaustive list provides examples of how to demonstrate that an aeroplane model is not operated any more:

 Provide evidence that all the examples of that aeroplane model have been scrapped;

 Provide evidence that all the remaining examples of that aeroplane model are no longer in airworthy condition and are not expected to return into service in the future (e.g. permanent storage for the purpose of being transferred to a museum or scrapped).

[Issue: 26/3]

26.304 Corrosion prevention and control programme

Regulation (EU) 2020/1159

(a) A holder of a type-certificate (TC) or a restricted TC for a turbine-powered large aeroplane certified on or after 1 January 1958, for which the application for TC was submitted before 1 January 2019, shall establish a baseline corrosion prevention and control programme (CPCP).

(b) Unless the baseline CPCP referred to in paragraph (a) has already been approved by the Agency in accordance with point 21.A.3B(c)(1) of Annex 1 to Regulation (EU) No 748/2012 or in a maintenance review board report (MRBR) approved by the Agency, the holder of a type-certificate (TC) or a restricted TC shall submit the CPCP to the Agency before 26 February 2023, for approval.

(c) An applicant for a TC or restricted TC as referred to in letter (c) of Article 1 paragraph 2, for a turbine-powered large aeroplane shall establish a baseline corrosion prevention and control programme (CPCP) prior to the TC being issued.

CS 26.304(a) CPCP

ED Decision 2020/023/R

Compliance with point 26.304 of Part-26 is demonstrated by complying with CS 25.571 Amendment 19 or subsequent amendment, or with points (a) or (b) of this CS:

(a) A baseline CPCP is established according to AMC 20-20A Paragraph 9 or equivalent means, it includes a statement that requires the operator to control corrosion to Level 1 or better, and is submitted to EASA for approval.

(b) A baseline CPCP already exists for the type that is either approved by EASA through the maintenance review board (MRB) and industry steering committee (ISC) using existing procedures for EASA maintenance review board report (MRBR) approval or through an existing EASA AD.

[Issue: 26/3]

26.305 Validity of the continuing structural integrity programme

Regulation (EU) 2020/1159

(a) A holder of a type-certificate (TC) or a restricted TC for a turbine-powered large aeroplane certified on or after 1 January 1958, for which the application for TC was submitted before 1 January 2019, shall establish and implement a process that ensures that the continuing structural integrity programme remains valid throughout the operational life of the aeroplane, taking into account service experience and current operations.

(b) The holder of a type-certificate (TC) or a restricted TC shall submit a description of the process referred to in paragraph (a) to the Agency before 26 February 2023 for approval. The holder of a type-certificate (TC) or a restricted TC shall implement the process within 6 months after its approval by the Agency.

(c) An applicant for a TC or restricted TC as referred to in letter (c) of Article 1 paragraph 2 for a turbine-powered large aeroplane, shall establish and implement a process that ensures that the continuing structural integrity programme remains valid throughout the operational life of the aeroplane, taking into account service experience and current operations. It shall submit a description of the process to the Agency before 26 February 2023, or before the issuance of the certificate, whichever occurs later, for approval and shall implement the process within 6 months after its approval by the Agency.

CS 26.305(a) and (c) Validity of the continuing structural integrity programme

ED Decision 2020/023/R

Compliance with points 26.305(a) and 26.305(c) of Part-26 is demonstrated by complying with the following:

(a) Except as provided in point (h) of this CS, a process exists, and a report is submitted to EASA that describes the process and how it is implemented;

(b) The process is either continuous with each service finding, or is a regular review following several findings, or a combination of both;

(c) The process includes a plan to audit and report to EASA the effectiveness of the continuing structural integrity programme, including the continuing validity of the assumptions upon which it is based, prior to reaching any significant point in the life of the aeroplane;

(d) The process includes criteria for summarising findings of fatigue, environmental or accidental damage and their causes, and recording them in a way that allows any potential interaction to be evaluated;

(e) The process includes criteria to assess and record the relevance of each potential contributing factor to the finding, including operational usage, fatigue load spectra, environmental conditions, material properties, manufacturing processes and the fatigue and damage tolerance analytical methods of analysis and their implementation;

(f) The process includes criteria for establishing and revising sampling programmes to supplement the inspections and other procedures established in compliance with the applicable fatigue and damage tolerance requirements; and

(g) The process includes criteria for establishing when structures should be modified, or the inspection programme revised, in the light of in-service damage findings;

(h) Sunset criteria: The extent to which the above elements of the process require definition may be tailored to the size of the fleet and its expected useful remaining life.

(i) Additional means of compliance may be found in Paragraph 5 of and Appendix 5 to AMC 20-20A.

[Issue: 26/3]

26.306 Fatigue critical baseline structure

Regulation (EU) 2020/1159

(a) A holder of a type-certificate (TC) or a restricted TC for a turbine-powered large aeroplane certified on or after 1 January 1958, for which the application for TC was submitted before 1 January 2019, and certified to carry 30 passengers or more, or with a payload capacity of 3 402 kg (7 500 lbs) or more shall identify and list the fatigue- critical baseline structures (FCBS) for all aeroplane model variations and derivatives included in the TC or restricted TC.

(b) The holder of a type-certificate (TC) or a restricted TC shall submit the list of the structures referred to in paragraph (a) to the Agency before 26 August 2021 for approval.

(c) Upon approval of the list referred to in paragraph (a) by the Agency, the holder of a type-certificate (TC) or a restricted TC shall make it available to operators and persons required to comply with points 26.330 and 26.370.

(d) An applicant for a TC or restricted TC as referred to in letter (c) of Article 1 paragraph 2, for a turbine-powered large aeroplane to be certified to carry 30 passengers or more, or with a payload capacity of 3 402 kg (7 500 lbs) or more shall identify and list the fatigue-critical baseline structures (FCBS) for all aeroplane model variations and derivatives included in the TC or restricted TC. It shall submit the list of these structures to the Agency before 26 August 2021, or before the issuance of the certificate, whichever occurs later, for approval.

(e) Upon approval of the list referred to in paragraph (d) by the Agency, the applicant for a TC or restricted TC as referred to letter (c) of Article 1 paragraph 2 shall make it available to operators and persons required to comply with point 26.370.

CS 26.306(a) and (d) Fatigue-critical baseline structure

ED Decision 2020/023/R

Compliance with points 26.306(a) and 26.306(d) of Part-26 is demonstrated when a list of the FCBSs exists that has been identified in compliance with AMC 25.571 Appendix 5 or AMC 20-20A Appendix 3 paragraph 3.3, and which clearly describes the location and the extent of the FCBSs.

[Issue: 26/3]

26.307 Damage tolerance data for existing changes to fatigue-critical structure

Regulation (EU) 2020/1159

(a) A holder of a type-certificate (TC) or restricted TC for a turbine-powered large aeroplane certified on or after 1 January 1958 certified to carry 30 passengers or more, or with a payload capacity of 3 402 kg (7 500 lbs) or more, for changes and fatigue-critical modified structure (FCMS) existing on 26 February 2021 shall:

(i) review existing design changes (design modifications) and identify all changes that affect FCBS identified in accordance with point 26.306;

(ii) for each change identified in accordance with paragraph (a)(i), identify any associated fatigue-critical modified structure (FCMS);

(iii) for each change identified in accordance with paragraph (a)(i), perform a damage tolerance evaluation and establish and document the associated damage tolerance inspections;

(b) The holder of a type-certificate (TC) or a restricted TC shall submit the list of all fatigue-critical modified structure (FCMS) identified in accordance with paragraph (a)(ii) to the Agency before 26 February 2022, for approval.

(c) The holder of a type-certificate (TC) or a restricted TC shall submit the damage tolerance data, including DTI, resulting from the evaluation performed in accordance with paragraph (a)(iii) to the Agency before 26 August 2022, for approval.

(d) Upon approval by the Agency of the FCMS list submitted in accordance with paragraph (b), the holder of a type- certificate (TC) or restricted shall make that list available to operators and persons required to comply with points 26.330 and 26.370.

CS 26.307(a)(i),(ii) and (b) List of fatigue-critical modified structure

ED Decision 2020/023/R

Compliance with points 26.307(a)(i) and (ii) and 26.307(b) of Part-26 is demonstrated when a list of the fatigue-critical modified structures (FCMSs) exists that has been identified in compliance with AMC 20-20A Appendix 3 paragraph 4, and which clearly describes the location and the extent of the FCMS.

[Issue: 26/3]

CS 26.307(a)(iii) and (c) Damage tolerance data for existing changes to the FCS

ED Decision 2020/023/R

Compliance with the fatigue and damage tolerance evaluation required by point 26.307 (a)(iii) and (c) of Part-26 is demonstrated by complying with CS 25.571 Amendment 19 or subsequent amendment, or with the following:

(a) The fatigue and damage tolerance evaluation is in accordance with the damage tolerance requirements of the applicable certification basis, except as provided in point (b) of this CS.

(b) For aeroplanes certified on the basis of JAR-25 Change 6 or 14 CFR §25.571 Amendment 44 or equivalent, or earlier amendments, the fatigue and damage tolerance evaluation of the change is in accordance with JAR-25 Change 7 or 14 CFR §25.571 Amendment 45, or equivalent, or later amendments, except that residual strength loads may be based upon the fail-safe load cases of the original certification basis.

[Issue: 26/3]

26.308 Damage tolerance data for existing repairs to fatigue-critical structure

Regulation (EU) 2020/1159

(a) A holder of a type-certificate (TC) or restricted TC for a turbine-powered large aeroplane certified on or after 1 January 1958 certified to carry 30 passengers or more, or with a payload capacity of 3 402 kg (7 500 lbs) or more, for published repairs existing on 26 February 2021 shall:

(i) review the repair data and identify each repair specified in the data that affects the fatigue-critical baseline structure and the fatigue-critical modified structure identified in accordance with paragraph (a) of point 26.306 and paragraph (a)(ii) of point 26.307;

(ii) perform a damage tolerance evaluation for each repair identified in accordance with paragraph (a)(i), unless previously done.

(b) The holder of a type-certificate (TC) or restricted TC shall submit the damage tolerance data, including DTI, resulting from the evaluation performed in accordance with paragraph (a)(ii) to the Agency before 26 May 2022, for approval, unless already approved in accordance with point 21.A.435(b)(2) of Annex I (Part 21) to Regulation (EU) No 748/2012 before 26 August 2022.

CS 26.308 Damage tolerance data for existing published repairs to fatigue-critical structure

ED Decision 2020/023/R

Compliance with point 26.308(a) of Part-26 is demonstrated when damage tolerance data is developed in accordance with AMC 20-20A Paragraph 7 and Appendix 3 for each existing published repair to the fatigue-critical structure (FCS) identified in accordance with points 26.306 and 26.307 of Part‑26.

[Issue: 26/3]

26.309 Repair evaluation guidelines

Regulation (EU) 2020/1159

(a) A holder of a type-certificate (TC) or restricted TC for a turbine-powered large aeroplane certified on or after 1 January 1958 certified to carry 30 passengers or more, or with a payload capacity of 3 402 kg (7 500 lbs) or more and for which the TC or restricted TC was issued prior to 11 January 2008, shall develop repair evaluation guidelines (REGs) to establish:

(i) a process for conducting surveys of affected aeroplane that enables the identification and documentation of all existing repairs affecting the fatigue-critical structure identified in accordance with paragraph (a) of point 26.306 and paragraph (a)(ii) of point 26.307;

(ii) a process that enables operators to obtain a DTI for repairs identified in accordance with paragraph (a)(i);

(iii) an implementation schedule that provides time frames for conducting aeroplane surveys, obtaining DTIs and incorporating DTIs into the maintenance programme of the operator of the aeroplane.

(b) The holder of a TC or a restricted TC shall submit the repair evaluation guidelines developed in accordance with paragraph (a) to the Agency before 26 February 2023, for approval.

CS 26.309 Repair evaluation guidelines

ED Decision 2020/023/R

Compliance with point 26.309 of Part-26 is demonstrated when REGs are developed in accordance with AMC 20-20A Paragraph 7 and Appendix 3 for existing reinforcing repairs affecting the FCS identified in accordance with points 26.306 and 26.307 of Part-26.

[Issue: 26/3]

26.330 Damage tolerance data for existing supplemental type-certificates (STCs), other existing major changes and existing repairs affecting those changes or STCs

Regulation (EU) 2020/1159

(a) A holder of a STC issued before 26 February 2021 for a major change, or a holder of a major change that has been deemed approved in accordance with Article 4 of Regulation (EU) No 748/2012, for large aeroplanes certified on or after 1 January 1958 to carry 30 or more passengers or that have a payload capacity of 3 402 kg (7 500 lbs) or more, shall support operators required to comply with point 26.370(a)(ii) by addressing the adverse effects of those changes and repairs to those changes on the aeroplane structure and shall comply with the requirements set out in points 26.331 to 26.334.

(b) Paragraph (a) shall not apply to major changes and repairs to an aeroplane model first certified prior to 26 February 2021 when that aeroplane model meets any of the following conditions:

(i) it is listed in Table A.1 of Appendix 1;

(ii) it does not operate anymore after 26 February 2021;

(iii) it has not been certified to conduct civil operation with a payload or passengers;

(iv) it has a restricted TC and have been certified in accordance with damage tolerance requirements, provided that it is not operated beyond 75 % of its design service goal and is primarily operated in support of the restricted TC holders manufacturing operation;

(v) it is certified with a restricted TC and is designed primarily for firefighting;

(c) Paragraph (a) shall not apply to major changes and repairs to an aeroplane first certified prior to 26 February 2021 when the changes or repairs are not, and will not be, embodied on any aeroplane in operation on or after 26 August 2022.

(d) The exceptions provided for in paragraph (b)(ii) to (b)(v) and (c) shall apply only after the change approval holder submits a list of changes that affect fatigue-critical baseline structure, together with information supporting the reasons why each change has been included in the list, to the Agency before 26 February 2022 for approval.

26.331 Compliance Plan for STC holders

Regulation (EU) 2020/1159

A holder of a change approval shall:

(a) establish a compliance plan that addresses the requirements of points 26.332 to 26.334;

(b) submit the compliance plan referred in paragraph (a) to the Agency before 25 August 2021, for approval.

CS 26.331 Compliance plan for STC holders

ED Decision 2020/023/R

Compliance with point 26.331 of Part-26 is demonstrated when a compliance plan exists that includes:

(a) a project schedule identifying all the major milestones for meeting the compliance times specified in points 26.332 to 26.334 of Part-26;

(b) an explanation of how the changes that affect the FCS will be identified and presented;

(c) a proposed means of compliance with the DTE required by points 26.333 and 26.334 of Part-26;

(d) a plan for submitting drafts of all the compliance items required by point 26.330 of Part-26 for review by EASA not less than 60 days before the applicable compliance date.

[Issue: 26/3]

26.332 Identification of changes affecting fatigue critical structure

Regulation (EU) 2020/1159

(a) A holder of a change approval shall:

(i) review the changes and shall identify those changes that affect fatigue-critical baseline structure;

(ii) for each change identified in accordance with paragraph (a)(i), identify any associated FCMS;

(iii) identify the published repairs affecting each change identified in accordance with paragraph (a)(i).

(b) The holder of a change approval that was issued on or after 1 September 2003, shall develop and submit a list of the changes and FCMS identified in accordance with paragraphs (a)(i) and (a)(ii) to the Agency before 26 February 2022, for approval, and, upon approval by the Agency, make the list available to persons and operators required to comply with paragraph (b)(ii) of point 26.370.

(c) The holder of a change approval that was issued before 1 September 2003 shall:

(i) develop and submit a list of the changes identified in accordance with paragraph (a)(i)to the Agency before 26 February 2022, for approval;

(ii) upon request of an operator required to comply with point 26.370(a)(ii) for a change, identify and list any FCMS associated with the change and submit this data to the Agency within 12 months from the operators request, for approval;

(iii) upon approval of any data submitted according to paragraphs (c)(i) and (c)(ii), make that data available to persons and operators required to comply with paragraph (b)(ii) of point 26.370.

CS 26.332 Identification of changes affecting fatigue-critical structure

ED Decision 2020/023/R

(a) Compliance with points 26.332(a)(i) and 26.332(b) or 26.332(c)(i) of Part-26 is demonstrated when the changes affecting the FCBS are identified in compliance with AMC 20-20A Appendix 3 paragraph 4, and the list of changes has been submitted to EASA for approval.

(b) Compliance with points 26.332(a)(ii) and 26.332(b) or 26.332(c)(ii) of Part-26 is demonstrated when any associated FCMS has been identified in compliance with AMC 20-20A Appendix 3 paragraph 4, and the list of the FCMSs clearly describing the location and the extent of the FCMSs has been submitted to EASA for approval.

[Issue: 26/3]

GM1 26.332(a)(iii) Identification of published repairs to changes affecting fatigue-critical structure

ED Decision 2020/023/R

There is no requirement to list the published repairs to changes; however, the change approval holder will need to have identified these repairs in order to subsequently comply with points 26.333(a)(i) and 26.334(a)(i) of Part-26.

‘Published repairs’ are described in AMC 20-20A, Appendix 3, paragraph 4.3.3.

[Issue: 26/3]

GM1 26.332(c)(ii) and 26.334 FCMS and DTE for STCs and other changes approved prior to 1 September 2003

ED Decision 2020/023/R

The design approval holder should normally receive a request from an operator for FCMS lists and a DTI within 13 months of the date of applicability of the Regulation following the operator’s review of records to identify modifications affecting the FCBS, (see CS 26.370(b)(ii)). The request should result in the design approval holder listing the FCMSs, performing a DTE and making the approved FCMS list and a DTI available to the operator.

Design approval holders are recommended to initiate DTE of STCs and other changes as soon as possible if it is considered likely that operators will make a request.

When a request is received, the date of its receipt should be recorded, and a record kept of the subsequent communications with the operator, the agreements reached, and actions taken. An example of such records would be a copy of the contract to perform the DTE.

If no request for a DTI is made by an operator prior to 26 February 2023, the design approval holder may assume that their support is not required by any operator to develop a DTI because the aeroplane is not currently in operation according to Regulation (EU) No 965/2012 Annex IV (Part-CAT).

In this case, it is not necessary for the design approval holder to develop an FCMS list or DT data until such a request is received from an operator; for example, when an aeroplane is incorporated into their fleet.

Note: It might also be possible that an operator operating under Regulation (EU) No 965/2012 Annex IV (Part-CAT) has engaged the support of a third party to develop the DTI, but there is no obligation on the design approval holder to verify whether this is the case. If a design approval holder is in a situation where the need to comply with point 26.334 of Part-26 is not clear, this should be highlighted to EASA in the frame of the discussion of the compliance plan required in point 26.331 of Part-26 in order to find a way forward.

[Issue: 26/3]

26.333 Damage tolerance data for STCs and repairs to those STCs approved on or after 1 September 2003

Regulation (EU) 2020/1159

(a) A holder of a change approval that was issued on or after 1 September 2003 shall:

(i) for changes and published repairs identified in accordance with paragraph (a)(i) of point 26.332 and paragraph (a)(iii) of point 26.332, perform a damage tolerance evaluation;

(ii) establish and document the associated damage tolerance inspection, unless it has already been done.

(b) The holder of a change approval shall submit the damage tolerance data resulting from the damage tolerance evaluation performed in accordance with paragraph (a)(i) to the Agency before 26 February 2023, for approval, unless it is already approved in accordance with point 21.B.111 of Annex I (Part 21) to Regulation (EU) No 748/2012.

(c) By way of derogation from paragraph (b), for changes that did not have a damage tolerance evaluation requirement in the certification basis, the holder of a change approval identified in paragraph (a) shall submit the damage tolerance data resulting from the damage tolerance evaluation performed in accordance with paragraph (a) to the Agency, within the following deadlines, whichever occurs later, for approval:

(i) prior to an aeroplane with that change embodied being operated in accordance with Annex IV (Part-CAT) to Regulation (EU) No 965/20124Regulation (EU) No 965/2012 of 5 October 2012 laying down technical requirements and administrative procedures related to air operations pursuant to Regulation (EC) No 216/2008 of the European Parliament and of the Council (OJ L 296, 25.10.2012, p. 1).; or

(ii) before 26 February 2023.

CS 26.333 and 26.334 Damage tolerance data for STCs, other changes and repairs to those STCs and changes

ED Decision 2020/023/R

Compliance with the fatigue and damage tolerance evaluation required by points 26.333(a)(i) or 26.334(a)(i) of Part-26 is demonstrated by complying with CS 25.571 Amendment 19, or subsequent amendment, or with the following:

(a) The fatigue and damage tolerance evaluation is accomplished in accordance with the damage tolerance requirements of the applicable certification basis or a later amendment, except as provided in point (b) of this CS.

(b) For aeroplanes certified on the basis of JAR-25 Change 6 or 14 CFR §25.571 Amendment 44 or equivalent, or an earlier amendment, the fatigue and damage tolerance evaluation of the change or repair is accomplished in accordance with JAR-25 Change 7 or 14 CFR §25.571 Amendment 45, or equivalent, or later amendments, except that residual strength loads may be based upon the fail-safe load cases of the original certification basis.

[Issue: 26/3]

26.334 Damage tolerance data for STCs and other changes and repairs to those changes approved before 1 September 2003

Regulation (EU) 2021/97

(a) Upon request of an operator required to comply with point 26.370(a)(ii), a holder of a change approval that was issued before 1 September 2003 shall:

(i) for changes and published repairs identified in accordance with paragraph (a)(i) of point 26.332 and paragraph (a) (iii) of point 26.332, perform a damage tolerance evaluation;

(ii) establish and document the associated damage tolerance inspection, unless it has already been done.

(b) The holder of a change approval shall submit the damage tolerance data resulting from the evaluation performed in accordance with paragraph (a)(i) to the Agency:

(i) within 24 months from receipt of a request, for requests received prior to 26 February 2023, for approval; or

(ii) before 26 February 2025 or within 12 months from receipt of a request, whichever occurs later, for requests received on or after 26 February 2023, for approval.

26.370 Continuing airworthiness tasks and aircraft maintenance programme

Regulation (EU) 2020/1159

(a) Operators or owners of turbine-powered large aeroplanes certified on or after 1 January 1958 shall ensure the continuing airworthiness of ageing aeroplanes structures by preparing the aircraft maintenance programme provided for in point M.A.302 of Annex I (Part-M) to Commission Regulation (EU) No 1321/20145Commission Regulation (EU) No 1321/2014 of 26 November 2014 on the continuing airworthiness of aircraft and aeronautical products, parts and appliances, and on the approval of organisations and personnel involved in these tasks (OJ L 362, 17.12.2014, p. 1). that shall include:

(i) for aeroplanes certified to carry 30 passengers or more, or with a payload capacity greater than 3 402 kg (7 500 lbs), an approved damage-tolerance-based inspection programme;

(ii) for aeroplanes operated in accordance with Annex IV (Part-CAT) to Regulation (EU) No 965/2012 and certified to carry 30 passengers or more or with a payload capacity greater than 3 402 kg (7 500 lbs), a means for addressing the adverse effects that repairs and modifications may have on fatigue-critical structure and on inspections provided for in point (a)(i);

(iii) for aeroplanes certified with a maximum take-off weight (MTOW) greater than 34 019 kg (75 000 lbs) an approved LOV;

(iv) a CPCP;

(b) The following deadlines shall apply to the obligation referred to in paragraph (a):

(i) the aircraft maintenance programme shall be revised to address the requirements of points (a)(i), (a)(ii) and (a) (iv) before 26 February 2024 or before operating the aeroplane, whichever occurs later;

(ii) the aircraft maintenance programme shall be revised to address the requirements of point (a)(iii) before 26 August 2021, or 6 months after the publication of the LOV, or before operating the aeroplane, whichever occurs later;

(c) For an aeroplane model first certified before 26 February 2021 and:

(i) that does not operate anymore after 26 February 2024 points (a)(i), (a)(ii) and (a)(iv) shall not apply;

(ii) that does not operate anymore after 26 August 2021 point (a)(iii) shall not apply;

(iii) with a restricted TC issued before 26 February 2021 in accordance with damage tolerance requirements, provided that it is not operated beyond 75 % of its design service goal and is primarily operated in support of the approval holders manufacturing operation points (a)(i), (a)(ii) and (a)(iv) shall not apply;

(d) For an aeroplane model with a restricted type certificate issued before 26 February 2021 and the primary purpose of which is firefighting, points (a)(i) and (a)(ii) shall not apply.

CS 26.370 Continuing airworthiness tasks and aircraft maintenance programme — Operators and organisations responsible for maintenance programmes for large aeroplanes under Part-M

ED Decision 2020/023/R

(a) Compliance with point 26.370(a)(i) of Part-26 is demonstrated by incorporating into the aircraft maintenance programme (AMP) the approved damage-tolerance-based inspection programme developed by the design approval holders in accordance with CS 26.302.

(b) Compliance with point 26.370(a)(ii) of Part-26 is demonstrated by complying with point (i) of this CS or by ensuring that the adverse effects that repairs and modifications may have on FCS are addressed by:

(1) incorporating into the AMP all available approved DTIs for modifications by 26 February 2024 following compliance with points (c) to (e) of this CS;

(2) complying with point (f) of this CS;

(3) incorporating in the AMP the approved DTIs for all other repairs and modifications in accordance with the schedule adopted in a plan to be included, or referred to, in the AMP by 26 February 2024 in compliance with points (g) and (h) of this CS.

(c) Review of aeroplane records and initial request for data

(1) A candidate list of the major modifications in the aeroplane that affect or include FCS has been identified by means of a review of records, and listed in a report prepared by the continuing airworthiness maintenance organisation by 26 February 2022.

(2) Requests for FCMS lists and DTIs for modifications identified in point (c)(1) above as supplemental type certificates (STCs) and other changes, approved prior to 1 September 2003, are submitted to the design approval holder by 26 March 2022, or an alternative source of approved DTIs is identified.

(3) A final list of the major modifications in the aeroplane that affect or include FCS, taking into account the candidate list in point (c)(1) above, the available design approval holder lists of changes that affect the FCBS and the continuing airworthiness management organisation’s own evaluation, is included in a report prepared by the continued airworthiness management organisation. The report should be completed by 26 August 2022 or before operating the aeroplane in accordance with Part-CAT, whichever occurs later.

(d) Operator or owner review of design approval holder compliance data

A review has been conducted by the continuing airworthiness management organisation of the applicable documents supplied by type certificate (TC) holders and STC holders in compliance with points 26.302, 26.306 to 26.309 and 26.332 to 26.334 of Part-26, which supports the identification of the available FCS and DTIs relevant to each aeroplane.

(e) DTIs that should be incorporated into the AMP before 26 February 2024.

For modifications with an approved DTI that is available and compliant with points 26.307 or 26.333 of Part 26, all the applicable DTIs should be incorporated into the AMP by 26 February 2024 or before operating the aeroplane in accordance with Part-CAT, whichever occurs later.

(f) Modifications incorporated in an aeroplane imported to the EU after 26 February 2021

For all major modifications affecting FCS incorporated in an aeroplane that is imported to the EU after 26 February 2021, the applicable approved DTI should be obtained and incorporated into the AMP by 26 February 2024 or before operating the aeroplane in accordance with Part-CAT, whichever occurs later.

(g) Means to address the adverse effect of repairs and modifications that have not had DTIs incorporated into the AMP according to points (e) and (f) of this CS

(1) A plan has been established by the continuing airworthiness management organisation to obtain and implement all the applicable DT data for existing major modifications and reinforcing repairs affecting the FCS.

(2) The plan has been incorporated, in full or by reference, into the AMP for approval in accordance with point M.A.302 of Annex I (Part-M) to Regulation (EU) No 1321/2014.

(3) For each modification identified in the list contained in the report of point (c)(3) above and that is subject to this point, the plan shows that:

(i) requests for DT data have been made to the DAH that has to comply with point 26.334 of Part-26, and an agreement for obtaining approved DTIs is reached, or

(ii) an agreement is established with a third party to provide approved DTIs,

in order to support a schedule for incorporation of the DTIs into the AMP in accordance with point (h).

(4) In case a modification is identified after establishing the list of modifications according to point (c)(3) above, e.g. during an aeroplane survey, add that modification to the list.

(5) The plan ensures that reinforcing repairs to the FCS will be identified and assessed for DT by specifying processes for:

(i) conducting surveys and records reviews of the affected aeroplanes as necessary to ensure the identification and documentation of all the existing reinforcing repairs that affect the FCS; and

(ii) obtaining DT data for reinforcing repairs identified in point (g)(5)(i) above.

The plan does not need to include an aeroplane survey when the aeroplane certification basis for the complete structure of the aeroplane is CS 25.571. Reinforcing repairs are described in point 3.13.3 of Appendix 3 to AMC 20-20A.

(6) This plan also includes schedules for:

(i) conducting aeroplane surveys, obtaining DT data for repairs and incorporating all approved DTIs into the AMP considering the applicable REGs. Additional means of compliance may be found in Appendix 3 to AMC 20-20A;

(ii) obtaining DT data for all major modifications identified either in the plan or added to the list of modifications according to point (g)(4) above, and incorporating the applicable approved DTIs in the AMP in accordance with point (h) below.

(h) Schedule for obtaining DT data for certain modifications

For major modifications subject to point (g), a schedule is established for obtaining DT data such that:

(1) for major modifications identified in the plan in accordance with point (g)(3), all applicable approved DTIs will be incorporated into the AMP before 26 February 2026; and

(2) for major modifications identified according to point (g)(4), the applicable approved DTIs will be incorporated into the AMP by 26 February 2026 or within 12 months of the identification of that modification, or before operating the aircraft in accordance with Part-CAT, whichever occurs later.

(i) As an alternative to compliance with points (c) to (h) above, compliance with point 26.370(a)(ii) of Part-26 is demonstrated when a process exists and has been implemented to ensure that approved DTIs for all repairs and modifications affecting the FCS of an aeroplane have been incorporated into the AMP since the aeroplane first entered service.

(j) Compliance with point 26.370(a)(iii) of Part-26 is demonstrated by incorporating into the maintenance programme the most restrictive applicable limitation of points (1), (2) or (3) below, in flight cycles or flight hours or both, as appropriate:

(1) An EASA-approved LOV in accordance with Part-26, or

(2) An EASA-approved limitation on the applicability of the ALS of the instructions for continued airworthiness at the aeroplane level, in accordance with JAR/CS 25.571 and 25.1529 (or equivalent), or

(3) For aeroplanes listed in Table 1 below, the limitation in Table 1, unless EASA has approved different limitations in accordance with (1) or (2).

Type/Model

FC/FH

Boeing 707 (-300 Series and -400 Series)

20 000 FC

Boeing 720

30 000 FC

DC 8

50 000 FC/50 000 FH

DC-9

100 000 FC/100 000 FH

DC-10-10, -15

42 000 FC/60 000 FH

DC-10-30, -40, -10F, -30F, -40F

30 000 FC/60 000 FH

MD-10-10F

42 000 FC/60 000 FH

MD-10-30F

30,000 FC/60,000 FH

MD-90

60 000 FC/90 000 FH

Lockheed Electra L-188

26 600 FC

Lockheed Hercules 382 Series Hercules Models 382, 382B, 382E, 382F, and 382G

20 000 FC/50 000 FH

Lockheed Tristar L-1011-385-1, L-1011-385-1-14, L-1011-385-1-15, and L-1011-385-3.

36 000 FC

Table 1

(k) Compliance with point 26.370(a)(iv) of Part-26 is demonstrated by incorporating a CPCP into the maintenance programme, and where a TC holder baseline CPCP produced in accordance with point 26.304 of Part-26 exists, it is taken into account in the development of the operator’s CPCP.

[Issue: 26/3]

GM1 26.370(a)(ii) Means to address the adverse effects of repairs and modifications

ED Decision 2020/023/R

Unless an operator or owner complies with CS 26.370(i) and in order to comply in a timely manner with point 26.370(a)(ii) of Part-26, it is necessary to accomplish specific actions beforehand, to identify changes affecting the FCS, request the DT data, and review the design approval holder documentation, in accordance with CS 26.370 (c) and (d).

DTIs that should be available and incorporated into the AMP before 26 February 2024 are those DTIs that have been developed by the TC holder and STC holders in compliance with points 26.302, 26.307 and 26.333 of Part-26. The timescales for those requirements should mean that the DT data is submitted to EASA for approval by 26 February 2023, and following approval, the design approval holder has to make the DTIs available to operators, allowing them to incorporate the data prior to 26 February 2024. The operator will need to identify and contact the design approval holder for the applicable modification and request DT data for the modification. If the design approval holder for a modification installed on an operator’s aeroplane no longer exists or does not make the DTI available for some reason that is out of the operator’s control, the DTI may be obtained and incorporated according to the schedules outlined in CS 26.370(h). In these cases, the plan used in accordance with CS 26.370(g) should show the course of action for that modification, including the agreements by which the DTIs will be obtained.

For modifications approved after 1 September 2003, if the operator decides not to obtain the DTI that is available from the design approval holder of the modification and elects to contract a third party, the timescale of CS 26.370(e) for the incorporation of the approved DTI into the AMP remains unchanged.

For the DTIs of modifications where the TC holder is not the approval holder and the approval was issued prior to 1 September 2003, the operator will have to make a request for that data to the approval holder, who would then have to comply with point 26.334 of Part-26 and make the DTIs available, or the operator may arrange with a third party to perform the DTE and provide approved DTIs. The DT data should be obtained, and the DTIs incorporated into the AMP according to the schedules outlined in CS 26.370(h), and this should be part of the plan used in accordance with CS 26.370(g).

When a request for DT data is made to the design approval holder that has to comply with point 26.334 of Part-26, it should be in written form, the date of the request should be recorded, and a record kept of the subsequent communications with the DAH, the agreements reached and the actions taken. An example of such records would be a copy of the contract to provide the DT data.

For each modification identified in the review of records as per CS 26.370(c), when the DTI for a modification is not already incorporated into the AMP, the operator should ensure that it will be obtained. This means that the design approval holders of all modifications for which the operator has identified a potential need for DTIs should be approached in a timely manner.

For repairs, acceptable procedures for conducting aeroplane surveys, and schedules for obtaining, incorporating and implementing DTIs may be found in the applicable REGs made available by the TC holder as required by point 26.309 of Part-26 and described in Appendix 3 to AMC 20-20A.

[Issue: 26/3]