CS AWO.B.CATII.113 Flight path and speed control

ED Decision 2022/007/R

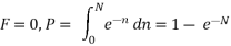
The performance of the aeroplane and its systems shall be demonstrated by flight tests supported by appropriate analysis and simulator tests. Flight-testing shall include a sufficient number of approaches conducted in conditions which are reasonably representative of the actual operating conditions and shall cover the range of parameters affecting the behaviour of the aeroplane.

[Issue: CS-AWO/2]

AMC AWO.B.CATII.113 Flight demonstration

ED Decision 2022/007/R

1 Flight path control

Compliance with CS AWO.B.CATII.113 may be shown by a flight test programme covering a representative range of weight, centre-of-gravity (CG) position, xLS ground facility characteristics, aeroplane configurations and wind speed. At least three ILS ground facilities and/or at least two MLS/GLS facilities should be used with an approximately equal number of approaches to each. The aeroplane and its equipment should be representative of the production standard in relevant areas. For handflown approaches conducted using a flight director or a HUD, at least three different pilots flying should be employed with the total number of approaches flown being approximately evenly divided among them.

Since it is not economically possible to make a large number of approaches to show compliance with AMC AWO.B.CATII.113, it is necessary to impose a confidence level on the results of the programme. A confidence level of 90 % has been selected to allow a reasonable number of approaches. Two methods of demonstrating compliance are given: the ‘continuous method’ and the ‘pass or fail method’. The mathematical derivation of these two methods is given in Appendix 1 to AMC AWO.B.CATII.113.

1.1 Continuous method (analysis of maximum value)

If this method is used, a minimum of 30 approaches should be made to provide an adequate sample. If more than one type of precision approach system is installed, approximately equal numbers of approaches should be carried out for each type of approach system being certified. The maximum glide path and localiser deviations occurring between 90 m (300 ft) and 30 m (100 ft) should be recorded using test instrumentation and the results analysed in one of the following two ways.

1.1.1 Numerical analysis

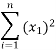
a. Calculate 
 

where: xi is the maximum glide path (or localiser) deviation recorded between 90 m (300 ft) and 30 m (100 ft) on the approach, and n is the number of approaches.

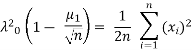
b. Calculate 
 

where x0 is the excess-deviation alert setting

c. Calculate the probability of success, P(α), where:

If P(α) is 95 % or more, the aeroplane meets the criteria with the required levels of confidence.

1.1.2 Graphical analysis

This is essentially the same as the numerical analysis but it allows inspection of the results as the programme progresses so as to give an early indication of the likelihood of success.

a. Calculate  as the programme progresses

and plot the results against the number of approaches completed in Figure 1.

Note: Figure 1 is based on excessive glideslope and localiser deviation thresholds of 75 µA and 25 µA respectively, as specified in AMC AWO.B.CATII.115(a). If lower thresholds are used, Figure 1 should be amended using the method specified in Appendix 1 to AMC AWO.B.CATII.113, paragraph 3, ‘Graphical analysis’.

b. When the plotted line enters the ‘pass’ region, the programme may be stopped.

1.2 Pass or fail method

This method is suitable for use when it is not practicable to install recording equipment. A total of at least 46 successful approaches are necessary to pass this method. If more than one type of precision approach system is installed, approximately equal numbers of approaches should be carried out for each type of approach system being certified. Each approach is made using Category II procedures and a record is kept of any unsatisfactory approaches due to xLS tracking performance or airborne system malfunctions. The success of the programme is judged against the criteria shown in Figure 2.

1.3 Numerical analysis by simulation

This method is suitable for use when a simulation has been demonstrated valid by flight tests (i.e. simulation tools to demonstrate CAT III automatic landing as per AMC AWO.A.ALS.106).

The numerical analysis method proposed in paragraph 1.1 can be used provided that:

             the deviation is computed from the aircraft position to the intended flight path;

             the signal-in-space model used for the simulation is representative of the elected navigation means (facilities external to the aircraft) for the intended operation; signal-in-space models representative of navigation means can be found in Appendix 1 to AMC to Subpart A; and

             the wind models used for the simulation are representative; acceptable representative wind models can be found in Appendix 1 to AMC to Subpart A.

2 Speed control

Where an automatic throttle/thrust is used, the airspeed should be recorded and shown to remain within ±9.3 Km/h (±5 kt) of the intended value, disregarding rapid fluctuations due to turbulence.

FIGURE 1 Graphical analysis

The dashed line illustrates achieved progress with failures on approaches 30 and 60.

FIGURE 2 Pass or fail method

[Issue: CS-AWO/2]

APPENDIX 1 TO AMC AWO.B.CATII.113 – Category II ILS and MLS tracking performance

ED Decision 2022/007/R

1 Introduction

AMC AWO.B.CATII.113 gives acceptable methods of demonstrating acceptable ILS and/or MLS tracking performance. This Appendix gives the mathematical derivation of these methods.

2 Numerical analysis

The maximum glide path or localiser deviation recorded during an xLS approach will vary from one approach to another and may be treated as a statistical variable. If it is assumed that the glideslope and localiser deviations recorded during an xLS approach have a normal distribution with mean zero, then it can be shown that the maximum deviations (ignoring the sign of the maximum value) during a certain approach interval follow a Rayleigh distribution of the form:

where x is the maximum glideslope or localiser deviation and λ0 is the scale parameter of the Rayleigh Distribution function.

It follows that the probability of recording a maximum deviation less than some specified value xo is:

It can be shown that:

and, to a good approximation:

where n is the number of approaches and xi the maximum deviation recorded on each approach.

If large numbers of approaches were made, λ0 could be calculated and used to find the probability that the maximum xLS deviation will not exceed the excess-deviation alert setting.

For example, if:

and the excess-deviation alert setting is 75 µA, then:

and

However, it is not economically practicable to make large numbers of approaches and the effects of small sample sizes should be considered. The usual method of doing so is to impose a confidence level (in this case, 90 %) on the results of the measured sample.

If values of λ2 are calculated from a number of samples, sampling theory shows that they will be normally distributed with a mean value and a standard deviation of where n is the number of approaches in each sample.

Parameter  is normally distributed with a mean value 0 and a standard deviation 1.

The probability (or confidence level) that a value of µ is greater (or smaller) than a certain value is given by the probability distribution function of the normal distribution N (0,1):

Figure A1–1 shows numerical solutions of this integral, in percentages of the integral from – ∞ to ∞, representing one-sided exceedance probabilities (or confidence levels) τ for a range of µ1 values.

FIGURE A1–1: Confidence level

From this Figure, it can be seen that for τ = 90 %, µ1 = 1.28.

Thus, there is a given level of confidence τ that: –

From which

The value of λ2 for the sample is, as shown earlier:

Hence, the maximum value of λ0 can be calculated, followed by the minimum value of

where, as before, x0 is the excess-deviation alert setting.

The minimum probability of not exceeding the excess-deviation alert setting is found by using the probability equation:

3 Graphical analysis

As before, the distribution of the maximum deviation on an approach is assumed to be such that the probability that it is less than a value x0 is given by:

From this equation, given that the required probability is 95 %, the value of can be calculated as:

The limiting deviations (x0) are the excess-deviation alert settings; 75 µA for the glide path and 25 µA for the localiser. Hence:

λ0 = 30.64 for the glide path

λ0 = 10.21 for the localiser

As given earlier:

so that:

= 1 878 n for the glide path

= 209 n for the localiser

Thus, a 95 % success rate can be represented graphically as in Figure A1–2 showing Σxi2 plotted against i:

csAWOimage18.jpg

FIGURE A1–2: Examples of results of flight trials

If, now, a flight trials programme is carried out and the accuracy of the results needs to be checked against the 95 % success criterion, this can be achieved by plotting the value of Σxi2, the sum of the squares of the maximum recorded deviations, against n, the number of runs as the trial progresses. If the results are better than required, the graph will cross the 95 % line as shown by line A above. If they are worse the results will appear as line B.

So far, the effect of sample size has not been considered. Its effect is to lower the 95 % success line.

For the sample:

As shown earlier:

which, in the limiting case becomes:

Hence:

or

λ0

= 30.64 for the glide path

λ0

= 10.21 for the localiser

µ1

= 1.28 for 90 % confidence level

= 1 878 n – 2 403 for the glide path

 

= 209 n – 267 for the localiser

These expressions have been used to produce Figure 1 of AMC AWO.B.CATII.113.

4 Pass or fail method

Suppose the rate of failed approaches measured over a large number of approaches is r.

In a number of approaches T, the expected number of failures is n = rT.

In any given period of time, the number of failures occurring may be greater or less than n, and the small sample may not be typical.

If the failures are randomly distributed with respect to time, the probability p of observing F failures when the expected number is n is given by the various terms of the Poisson distribution, viz.:

F

0

1

2

3

F

P

e-n

e-nn

This is a convenient form when the long-term average n is known and the probability of an occurrence of abnormally high or low numbers of failures over short periods is to be found. The problem here is the reverse of this. The observed number F is known and the value of n, which is consistent with it, is required.

In this case, n can have any value above zero and less than infinity. By considering all values of n from zero to some selected maximum N, the Poisson distribution can be used to find the probability of occurrence of each value of n. Summing all these probabilities gives the cumulative probability P that, for an observed value of F, the expected value is not in excess of N. Thus:

As F is a known whole number, then, for various values of F, the value of P may be determined as follows:

and generally for any value of F,

By evaluating the integral for various values of N, the variation of P with N is obtained. Then, for a given confidence level P, the value of N corresponding to the observed value F is obtained. Thus if the observed rate is F/T, then, for a selected confidence level, it is possible to determine the maximum value for the failure rate N/T.

csAWOimage22.jpg

FIGURE A1–3: P, N and F Relationships

From Figure A1–3 it can be seen that for a failure rate r of 5 % and a 90 % confidence level, the required number of approaches T is:

F

N

T

0

2.30

46

1

3.9

78

2

5.3

106

3

6.65

133

4

8

160

5

9.2

184

For example, it is necessary to make 46 approaches without a failure, 78 if one failure occurs and so on as shown in Figure 2 of AMC AWO.B.CATII.113.

[Issue: CS-AWO/2]

CS AWO.B.CATII.114 Decision height (DH)

ED Decision 2022/007/R

The DH shall not be less than 1.25 times the minimum permissible height for the use of the approach system. (See AMC 25.1329.)

[Issue: CS-AWO/2]

CS AWO.B.CATII.115 Excess-deviation alerts

ED Decision 2022/007/R

(a) Excess-deviation alerts shall operate when the deviation from the xLS glide path or localizer centre line exceeds a value from which a safe landing can be performed from offset positions equivalent to the excess-deviation alert, without exceptional piloting skill and with the visual references available in these conditions. (See AMC AWO.B.CATII.115(a))

(b) Excess-deviation alerts shall be set to operate with a delay of not more than 1 second from the time that the values determined in CS AWO.B.CATII.115(a) are exceeded.

(c) Excess-deviation alerts shall be active at least from 90 m (300 ft) to the DH, but the glide path alert should not be active below 30 m (100 ft).

[Issue: CS-AWO/2]

AMC AWO.B.CATII.115(a) Excess-deviation alerts

ED Decision 2022/007/R

The excess-deviation alerts should be set to operate when the xLS deviation exceeds not more than:

             75 µA for the glide path; and

             25 µA for the localiser.

[Issue: CS-AWO/2]

CS AWO.B.CATII.116 Go-around climb gradient

ED Decision 2022/007/R

The AFM shall contain either a WAT limit corresponding to a gross climb gradient of 2.5 %, with the critical engine failed and with the speed and configuration used for go-around, or the information necessary to construct a go-around gross flight path with an engine failure at the start of the go‑around from the DH.

[Issue: CS-AWO/2]