Filters
Annex I (Part-26)
ADDITIONAL AIRWORTHINESS SPECIFICATIONS FOR OPERATIONS
SUBPART A — GENERAL PROVISIONS
CS 26.1 Purpose and scope
ED Decision 2015/013/R
This CS is the standard means to show compliance of products with the requirements of Annex I
(Part-26) to Commission Regulation (EU) 2015/640. (See GM1 26.1 and GM2 26.1)
GM1 26.1 JAR-26 / JAR/CS-25 / FAR-25+121 / OPS / Part-26 / CS-26 / GM-26 cross-reference table
ED Decision 2020/023/R
This table is intended to be a quick cross-reference table between those requirements that are contained on the one hand in Part-26, CS-26 and GM 26, and on the other hand their ‘parent’ airworthiness code, if one exists, i.e. JAR-26, the FAA’s FAR-25 and/or FAR Part 121, as well as the related EU-OPS and the new EASA Operational requirements. This table is only indicative, and it does not pre-empt compliance with the applicable requirements, which shall be assessed by the competent authority.
JAR-26 | JAR-25 / CS-25 | FAR-25/ Part 121 | OPS | Part-26 | CS-26 | GM-26 |
N/A | n/a | n/a | n/a | n/a | ||
N/A | n/a | n/a | n/a | n/a | ||
N/A | n/a | n/a | n/a | n/a | ||
N/A | n/a | n/a | n/a | |||
N/A | n/a | n/a | n/a | |||
N/A | JAR 25.562 CS 25.562 | FAR 25.562 FAR 121.311(j) Amdt 121-315 | CAT.IDE.A.205 | |||
N/A | CS/JAR 25.571 | FAR 25.571 | n/a | |||
N/A | CS/JAR 25.571 (a) and (b) | FAR 25.571 (a) and (b) | n/a | n/a | ||
N/A | CS 25.571 at Amendment 19 | FAR 25.571 at Amendment 132 | n/a | |||
N/A | CS/JAR 25.571 (a) and (b) | FAR 25.571 (a) and (b) | n/a | n/a | ||
N/A | CS/JAR 25.571 (a) and (b) | FAR 25.571 (a) and (b) | n/a | n/a | ||
N/A | CS/JAR 25.571 (a) and (b) | FAR 25.571 (a) and (b) | n/a | n/a | ||
N/A | CS/JAR 25.571 (a) and (b) | FAR 25.571 (a) and (b) | n/a | n/a | ||
N/A | CS/JAR 25.571 (a) and (b) | FAR 25.571 (a) and (b) | n/a | n/a | ||
N/A | CS/JAR 25.571 (a) and (b) | FAR 25.571 (a) and (b) | n/a | |||
N/A | CS/JAR 25.571 (a) and (b) | FAR 25.571 (a) and (b) | n/a | |||
N/A | CS/JAR 25.571 (a) and (b) | FAR 25.571 (a) and (b) | n/a | n/a | ||
N/A | CS/JAR 25.571 (a) and (b) | FAR 25.571 (a) and (b) | n/a | |||
N/A | CS 25.705 | n/a | n/a | |||
N/A | CS 25.851(c) | n/a | n/a | |||
N/A | CS 25.856 | FAR 25.856 121.312(e) | n/a | |||
N/A | CS 25.857 (c) & (e) CS 25.858 | FAR 857(c) & (e) FAR 25.858 FAR 121.314(c) | n/a | n/a | ||
JAR 26.1 | n/a | n/a | n/a | n/a | n/a | n/a |
JAR 26.2 | n/a | n/a | n/a | n/a | n/a | n/a |
JAR 26.3 | n/a | n/a | n/a | n/a | n/a | |
JAR 26.5 | n/a | n/a | n/a | n/a | n/a | n/a |
JAR 26.50 | JAR 25.785(h), (j) & (k) at Change 8, 30/11/81 CS 25.785(g) | FAR 25.785(g), Amdt 25-51, 06/03/80 FAR 121.311 (d)(f) & (g) at Change 21, 17/02/98 | OPS 1.730 CAT.IDE.A.205 | |||
JAR 26.100 | JAR 25.807(d)(7) at Change 13 and Amdt 93/1 08/03/93 CS 25.807 | 121.310(m) | n/a | n/a | ||
JAR 26.105 | JAR 25.813(d) to (f) at Change 8, 30/11/81 CS 25.813 | 121.310(f) | OPS 1.735 CAT.IDE.A.215 | n/a | ||
JAR 26.110 | JAR 25.811(a) to (d) and (f) to (g) at Change 8, 30/11/81 JAR 25.811(e) at Change 14, 27/05/94 CS 25.811 | 121.310(b) | OPS 1.815 CAT.IDE.A.275 | |||
JAR 26.120 | JAR 25.812 (b),(c),(d) & (h) at Change 8, 30/11/81 JAR 25.812 (a) & (e) at Change 12, 16/06/86 CS 25.812 | FAR 121.310 (b),(c) & (d) at Change 21, 17/02/98 | OPS 1.815(a)(1) CAT.IDE.A.275(b) | n/a | ||
JAR 26.125 | JAR 25.812 (f) & (g) at Change 8, 30/11/81 CS 25.812 | FAR 121.310 (h)(1) at Change 21, 17/02/98 | OPS 1.185(a)(1)(iv) and (v) CAT.IDE.A.275(b)(4) and (5) | n/a | n/a | n/a |
JAR 26.130 | CS 25.810 | FAR 25.2 (a) at Amdt 25-72, 20/08/90 FAR 121.310 (a) & (h)(2) at Change 21, 17/02/98 | OPS 1.805 CAT.IDE.A.265 | n/a | n/a | n/a |
JAR 26.150 | JAR 25.791 at Change 8, 20/11/81 JAR 25.853(a) to (d) at Change 14, 27/05/94 JAR 25.853(e) at Change 13 plus Amdt 91/1, 12/04/91 JAR 25.853(f) and Appendix F at Change 14, 27/05/94 Appendix F, Part I, at Amdt 93/1, 08/03/93 Appendix F, Part II, III, IV, V at Change 13 05/10/89 CS 25.853 | FAR 121.312 | OPS 1.731 CAT.IDE.A.210 | App. F | ||
JAR 26.155 | JAR 25.855 and Appendix F, Part III at Change.13 plus Amdt 93/1, 08/03/93 CS 25.855 | 121.314 | n/a | App. F | n/a | |
JAR 26.160 | JAR 25.854 at Change.13 at Amdt 93/1, 08/03/93 CS 25.854 | 121.308 | n/a | n/a | ||
JAR 26.200 | JAR 25.729 at Amdt 93/1, 08/03/93 CS 25.729 | 121.289, Amdt 121-227 | n/a | n/a | ||
JAR 26.250 | n/a | 121.313(j)(1)(ii) | n/a | n/a | n/a | |
JAR 26.260 | CS 25.795 | 121.313(j)(1)(ii) | OPS 1.1255 ORO.SEC.100.A | n/a | n/a | n/a |
[Issue: 26/2]
[Issue: 26/3]
GM2 26.1 Demonstration of compliance
ED Decision 2024/010/R
For the initial issue of Part-26, which is a transposition of existing JAR-26 requirements, the operators will be responsible for showing compliance. In most cases this can be done by referring to the certification basis of the aircraft or the approved changes in which the amendment level of the certification specification will indicate compliance. In any case, the JAR-26 requirements should have been implemented already by EU operators and since the CS-26 text is equivalent to the JAR-26 text, compliance with JAR-26 means also compliance with Part-26. See also Article 5 of the Commission Regulation (EU) 2015/640. In the rare case where the above possibilities are not sufficient, showing compliance by the operator directly to the NAA will be difficult. They will need to involve the design approval holder of the aircraft or the approved change as relevant. This design approval holder should then apply to the EASA for certification that the design complies with the relevant CS-26 or CS-25 paragraph, special condition or equivalent safety case. With that approval information the operator can show compliance to the NAA.
[Issue: 26/2]
[Issue: 26/5]
26.10 Competent authority
Regulation (EU) 2024/2954
(a)For the purposes of this Annex, the competent authority to which an aircraft operator needs to demonstrate compliance of its aircraft, the design of which has already been certified, with the requirements of this Annex shall be the competent authority responsible for the oversight of that operator or the Agency if the responsibility for the oversight of the operator has been allocated to the Agency in accordance with Article 64 or 65 of Regulation (EU) 2018/1139.
(b)For the purposes of this Annex, the competent authority to which a holder of a type certificate (TC), restricted TC, supplemental type certificate (STC), design change approval or repair design approval needs to demonstrate compliance with the requirements of this Annex shall be the Agency.
26.20 Temporary inoperative equipment
Regulation (EU) 2015/640
A flight shall not be commenced when any of the aircraft’s instruments, items of equipment, or functions required by this Part are inoperative or missing unless waived by the operator’s Minimum Equipment List as defined in Part-ORO.MLR.105 and approved by the competent authority.
26.30 Demonstration of compliance
Regulation (EU) 2024/2954
(a)The Agency shall issue, in accordance with Article 76(3) of Regulation (EU) 2018/1139, certification specifications as standard means to demonstrate compliance with this Annex. The certification specifications shall be sufficiently detailed and specific to indicate the conditions under which compliance with the requirements of this Annex may be demonstrated.
(b)Aircraft operators and holders of a TC, restricted TC, STC, design change approval, or repair design approval may demonstrate compliance with the requirements of this Annex by complying with either of the following:
(i)the specifications issued by the Agency under point (a) or the equivalent certification specifications issued by the Agency under point 21.B.70 of Annex I (Part 21) to Regulation (EU) No 748/2012;
(ii)technical standards offering an equivalent level of safety to that of the standards included in those certification specifications.
(c)Holders of a TC, restricted TC, STC, design change approval, or repair design approval shall make available any change to the instructions for continued airworthiness (“ICA”) developed for the purpose of ensuring compliance with this Annex to all known operators of the affected aircraft and, on request, to any other person required to comply with such instructions, including continuing airworthiness management organisations. For the purposes of this Regulation, the ICA also include damage tolerance inspections (“DTIs”), repair evaluation guidelines (“REGs”), a baseline corrosion prevention and control programme (“CPCP”) and a list of fatigue-critical structures (“FCSs”) and airworthiness limitation sections (“ALSs”).
SUBPART B — AEROPLANES
26.50 Seats, berths, safety belts, and harnesses
Regulation (EU) 2015/640
Operators of large aeroplanes used in commercial air transport, type certified on or after 1 January 1958, shall ensure that each flight or cabin crew member seat and its restraint system are configured in order to provide an optimum level of protection in an emergency landing whilst allowing the occupant’s necessary functions and facilitating rapid egress.
CS 26.50 Seats, berths, safety belts, and harnesses
ED Decision 2020/023/R
Compliance with point 26.50 of Part-26 is demonstrated by complying with CS 25.785(g), (h), (j) & (k) of CS-25, or equivalent or with the following:
(a)Each seat at a flight deck station is equipped with a combined safety belt and shoulder harness with a single-point release that permits the flight deck occupant, when seated with safety belt and shoulder harness fastened, to perform all of the occupant’s necessary flight deck functions. There must be a means to secure each combined safety belt and shoulder harness, when not in use, to prevent interference with the operation of the aeroplane and with rapid egress in an emergency. Shoulder harness and combined safety belt and shoulder harness that were approved and installed prior to 6 March 1980 may continue to be used. Safety belt and shoulder harness restraint systems may be designed to the inertia load factors established under the certification basis of the aeroplane.
(b)Each seat for a cabin crew member required by Part-ORO.CC.100, located in passenger compartments:
(1)is equipped with a restraint system consisting of a combined safety belt and shoulder harness unit with a single point release. Each combined safety belt and shoulder harness is equipped with a means to secure it, when not in use, to prevent interference with rapid egress in an emergency;
(2)to the extent possible, without compromising their proximity to required floor level emergency exits, is located to provide a direct view of the cabin area for which the cabin crew member is individually responsible, except that for aeroplanes with a certification basis prior to JAR 25.785 at Change 8 (or FAR Part 25, §25.785, at Amendment 25-51 respectively), cabin crew member seats need not be re-located to meet that condition if an indirect view into the passenger cabin is given by a mirror;
(3)is:
(i)either forward or rearward facing, with an energy absorbing rest that is designed to support the arms, shoulders, head, and spine; and
(ii)positioned so that when not in use they do not interfere with the use of passageways and exits.
Combined safety belt and shoulder harness that were approved and installed prior to 6 March 1980 may continue to be used. Safety belt and shoulder harness restraint systems may be designed to the inertia load factors established under the certification basis of the aeroplane.
(c)Each seat for a cabin crew member required by Part-ORO.CC.100, is located to minimise the probability of its occupant suffering injury by being struck by items dislodged in a galley, or from a stowage compartment or serving cart. All items expected in these locations in service are considered. (See GM1 26.50(c))
(d)Each occupant of a seat that makes more than an 18-degree angle with the vertical plane containing the aeroplane centreline is protected from head injury by a safety belt and an energy absorbing rest that will support the arms, shoulders, head and spine, or by a safety belt and shoulder harness that prevents the head from contacting any injurious object. Each occupant of any other seat is protected from head injury by a safety belt and, as appropriate to the type, location, and angle of facing of each seat, by one or more of the following:
(1)a shoulder harness that will prevent the head from contacting any injurious object;
(2)the elimination of any injurious object within striking radius of the head;
(3)an energy absorbing rest that will support the arms, shoulders, head, and spine.
[Issue: 26/2]
[Issue: 26/3]
GM1 26.50(c) Cabin crew seat location with respect to injury risk
ED Decision 2015/013/R
AC 25.785-1B, Section 8 is applicable when showing compliance with CS 26.50(c).
26.60 Emergency landing – dynamic conditions
Regulation (EU) 2021/97
Operators of large aeroplanes used in commercial air transport of passengers, type-certified on or after 1 January 1958, and for which the individual certificate of airworthiness is first issued on or after 26 February 2021 shall demonstrate for each seat type design approved for occupancy during taxiing, take-off or landing that the occupant is protected when exposed to loads resulting from emergency landing conditions. The demonstration shall be made by one of the following means:
(a)successfully completed dynamic tests;
(b)rational analysis providing equivalent safety, based on dynamic tests of a similar seat type design.
The obligation set out in the first paragraph shall not apply to the following seats:
(a)flight deck crew seats;
(b)seats in low-occupancy aeroplanes involved only in on-demand non-scheduled commercial air transport operations;
(c)seats in an aeroplane model listed in Table A.1 of Appendix 1 and carrying a manufacturer serial number listed in that Table.
CS 26.60 Emergency landing – dynamic conditions
ED Decision 2020/023/R
Compliance with point 26.60 of Part-26 is demonstrated by complying with CS 25.562 of CS-25, or its equivalent, or with the following (see GM1 26.60):
(a)Each seat type design that is approved for occupancy during taxiing, take-off, or landing must successfully complete dynamic tests or be demonstrated by rational analysis based on dynamic tests of a similar type seat, in accordance with each of the following emergency landing conditions. The tests must be conducted with an occupant simulated by a 77 kg (170 lb) anthropomorphic test dummy sitting in the normal upright position. The tests must include:
(1)A change in the downward vertical velocity (Δv) of not less than 10.7 m/s (35 ft/s), with the aeroplane’s longitudinal axis canted downward at 30 degrees with respect to the horizontal plane, and with the wings level. The peak floor deceleration must occur in not more than 0.08 seconds after the impact, and reach a minimum of 14 g.
(2)A change in the forward longitudinal velocity (Δv) of not less than 13.4 m/s (44 ft/s), with the aeroplane’s longitudinal axis horizontal and yawed by 10 degrees either to the right or the left, whichever would cause the greatest likelihood of the upper torso restraint system (if one is installed) moving off the occupant’s shoulder, and with the wings level. The peak floor deceleration must occur in not more than 0.09 seconds after the impact, and it must reach a minimum of 16 g. If floor rails or floor fittings are used to attach the seating devices to the test fixture, the rails or fittings must be misaligned with respect to the adjacent set of rails or fittings by at least 10 degrees vertically (i.e. away from being parallel), with one rolled by 10 degrees.
(b)The following performance measures must not be exceeded during the dynamic tests that are conducted in accordance with subparagraph (a) of this paragraph:
(1)If upper torso straps are used, the tension loads in the individual straps must not exceed 794 kg (1 750 lb). If dual straps are used to restrain the upper torso, the total strap tension loads must not exceed 907 kg (2 000 lb).
(2)The maximum compressive load that is measured between the pelvis and the lumbar column of the anthropomorphic dummy must not exceed 680 kg (1 500 lb).
(3)The upper torso restraint straps (if installed) must remain on the occupant’s shoulder during the impact.
(4)The lap safety belt must remain on the occupant’s pelvis during the impact.
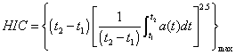
(5)Each occupant must be protected from serious head injury under the conditions that are prescribed in sub-paragraph (a) of this paragraph. Where head contact with seats or other structure can occur, protection must be provided so that the head impact does not exceed a Head Injury Criterion (HIC) of 1 000 units. The level of HIC is defined by the equation —

Where —
‘t1’ is the initial integration time,
‘t2’ is the final integration time, and
‘a(t)’ is the total acceleration vs time curve for the head strike, and where
‘(t)’ is in seconds, and ‘(a)’ is in units of gravity (g).
(6)Where leg injuries may result from contact with seats or other structures, protection must be provided to prevent axially compressive loads that exceed 1 021 kg (2 250 lb) in each femur.
(7)The seat must remain attached at all points of attachment, although the structure may have yielded.
(8)Seats must not yield under the tests that are specified in sub-paragraphs (a)(1) and (a)(2) of this paragraph to the extent that they would impede the rapid evacuation of the occupants of the aeroplane.
[Issue: 26/2]
[Issue: 26/3]
GM1 26.60 Emergency landing – dynamic conditions
ED Decision 2019/006/R
AC 25.562-1B (dated 10 January 2006) may be used for showing compliance with CS 26.60.
[Issue: 26/2]
26.100 Location of emergency exits
Regulation (EU) 2024/2954
Operators of large aeroplanes that are used in commercial air transport and that have a maximum operational passenger seating configuration of more than 19 with one or more emergency exits deactivated shall ensure that the distance(s) between the remaining exits remains (remain) compatible with effective evacuation, except for large aeroplanes that have an emergency exit configuration installed and approved before 1 April 1999.
CS 26.100 Location of emergency exits
ED Decision 2020/023/R
Compliance with point 26.100 of Part-26 is demonstrated by complying with the following:
If one or more emergency exits are deactivated, the distance(s) between the remaining exits is (are) no more than 18.3 m (60 feet) from any adjacent passenger emergency exit on the same side of the same deck of the fuselage, as measured parallel to the aeroplane’s longitudinal axis between the nearest exit edges.
[Issue: 26/2]
[Issue: 26/3]
26.105 Emergency exit access
Regulation (EU) 2015/640
Operators of large aeroplanes used in commercial air transport shall provide means to facilitate the rapid and easy movement of each passenger from their seat to any of the emergency exits in case of an emergency evacuation.
CS 26.105 Emergency exit access
ED Decision 2020/023/R
Compliance with point 26.105 of Part-26 is demonstrated by complying with CS 25.813(d) to (f) or equivalent, or with the following:
(a)Reserved.
(b)If it is necessary to pass through a passageway between passenger compartments to reach any required emergency exit from any seat in the passenger cabin, the passageway is unobstructed. However, curtains may be used if they allow free entry through the passageway.
(c)No door is installed in any partition between passenger compartments.
(d)If it is necessary to pass through a doorway separating the passenger cabin from other areas to reach any required emergency exit from any passenger seat, the door has a means to latch it in the open position. The latching means withstands the loads imposed upon it when the door is subjected to the ultimate inertia forces, relative to the surrounding structure, prescribed in CS 25.561(b), or equivalent, at the amendment level specified in the relevant Type Certificate Data Sheet, or equivalent document.
[Issue: 26/2]
[Issue: 26/3]
26.110 Emergency exit markings
Regulation (EU) 2015/640
Operators of large aeroplanes used in commercial air transport shall comply with the following:
(a)means shall be provided to facilitate the location, access, and operation of emergency exits by cabin occupants under foreseeable conditions in the cabin in case of an emergency evacuation;
(b)means shall be provided to facilitate the location and operation of emergency exits by personnel on the outside of the aeroplane in case of an emergency evacuation.
CS 26.110 Emergency exit markings
ED Decision 2020/023/R
Compliance with point 26.110 of Part-26 is demonstrated by complying with CS 25.811(a) to (d), and (f)&(g), or equivalent, and CS 25.811(e) or equivalent, or with the following:
(a)Each passenger emergency exit, its means of access, and its means of opening are conspicuously marked.
(b)The identity and location of each passenger emergency exit is recognisable from a distance equal to the width of the cabin.
(c)Means are provided to assist the occupants in locating the exits in conditions of dense smoke.
(d)The location of each passenger emergency exit is indicated by a sign visible to occupants approaching along the main passenger aisle (or aisles). There is:
(1)a passenger emergency exit locator sign above the aisle (or aisles) near each passenger emergency exit, or at another overhead location if it is more practical because of low headroom, except that one sign may serve more than one exit if each exit can be seen readily from the sign;
(2)a passenger emergency exit marking sign next to each passenger emergency exit, except that one sign may serve two such exits if they can both be seen readily from the sign; and
(3)a sign on each bulkhead or divider that prevents fore and aft vision along the passenger cabin to indicate emergency exits beyond and obscured by the bulkhead or divider, except that if this is not possible, the sign may be placed at another appropriate location.
Each sign listed in this sub-paragraph may use the word ‘exit’ in its legend in place of the term ‘emergency exit’ or a universal symbolic exit sign. The design of the exit signs is chosen to provide a consistent set throughout the cabin. (See GM1 26.110(d))
(e)The location of the operating handle and instructions for opening exits from the inside of the aeroplane are clearly shown in the following manner:
(1)each passenger emergency exit has, on or near the exit, a marking that is readable from a distance of 76 cm (30 inches);
(2)each passenger emergency exit operating handle and the cover removal instructions, if the handle is covered, are:
(i)self-illuminated with an initial brightness of at least 0.51 candela/m2 (160 micro-lamberts); or
(ii)conspicuously located and well illuminated by the emergency lighting even in conditions of occupant crowding at the exit.
(3)Reserved
(4)All Type II and larger passenger emergency exits with a locking mechanism released by motion of a handle, are marked by a red arrow with a shaft at least 19 mm (0.75 inch) wide, adjacent to the handle, that indicates the full extent and direction of the unlocking motion required. The word OPEN is horizontally situated adjacent to the arrow head and is in red capital letters at least 25 mm (1 inch) high. The arrow and word OPEN are located on a background which provides adequate contrast. (See GM1 26.110(e)(4))
(f)Each emergency exit that is openable from the outside, and its means of opening is marked on the outside of the aeroplane. In addition, the following apply:
(1)The outside marking for each passenger emergency exit in the side of the fuselage includes one 5 cm (2 inch) coloured band outlining the exit.
(2)Each outside marking including the band, has colour contrast to be readily distinguishable from the surrounding fuselage surface. The contrast is such that if the reflectance of the darker colour is 15% or less, the reflectance of the lighter colour is at least 45%. ‘Reflectance’ is the ratio of the luminous flux reflected by a body to the luminous flux it receives. When the reflectance of the darker colour is greater than 15%, at least a 30% difference between its reflectance and the reflectance of the lighter colour is provided.
(3)In the case of exits other than those in the side of the fuselage, such as ventral or tail cone exits, the external means of opening, including instructions if applicable, are conspicuously marked in red, or bright chrome yellow if the background colour is such that red is inconspicuous. When the opening is located on only one side of the fuselage, a conspicuous marking to that effect is provided on the other side.
[Issue: 26/2]
[Issue: 26/3]
GM1 26.110(d) Universal symbolic exit signs
ED Decision 2015/013/R
Guidance on the use of universal symbolic exit signs can be found in AMC 25.812(b)(1).
GM1 26.110(e)(4) Emergency Exit Markings
ED Decision 2015/013/R
The indicating markings for all Type II and larger passenger emergency exit unlocking handle motions should conform to the general shapes and dimensions indicated by Figures 1 and 2.
NOTE: As far as is practicable the markings should be located to avoid obscuring viewing windows located on or alongside the exits, or coincidence with any other required marking or safety feature.
FIGURE 1
EXAMPLE MARKING FOR INDICATION OF LINEAR OPENING MOTION
Where practical and unambiguous arrow point and base of arrow shaft to be within ±25 mm (1 inch)

of fully unlocked and fully locked positions respectively
DIMENSIONS
A=19 mm (0•75") minimum
B=2 x A
C=B (recommended)
D=Indicative of the full extent of handle travel (each installation to be individually assessed)
FIGURE 2
EXAMPLE MARKING FOR INDICATION OF ROTARY OPENING MOTION
Arrow point and base of arrow shaft to be within ±25 mm (1 inch) of fully unlocked and fully locked positions respectively

DIMENSIONS
A=19 mm (0•75") minimum
B=2 x A
C=B (recommended)
D=Full extent of handle centreline travel
E=Three quarters of handle length (where practicable)
26.120 Interior emergency lighting and emergency light operation
Regulation (EU) 2015/640
Operators of large aeroplanes used in commercial air transport shall provide means to ensure that illuminated exit signage, general cabin and exit area illumination, and low level exit path illumination is available to facilitate the location of exits and movement of passengers to the exits in case of emergency evacuation.
CS 26.120 Interior emergency lighting and emergency light operation
ED Decision 2020/023/R
Compliance with point 26.120 of Part-26 is demonstrated by complying with CS 25.812 (b),(c),(d) and (h) of CS-25 or equivalent and CS 25.812 (a) and (e) of CS-25 or equivalent, or with the following:
(a)An emergency lighting system, independent of the main lighting system, is installed. However, sources of general cabin illumination may be common to both the emergency and the main lighting system if the power supply to the emergency lighting system is independent of the power supply to the main lighting system. The emergency lighting system includes:
(1)Illuminated emergency exit marking and locating signs, sources of general cabin illumination and interior lighting in emergency exit areas.
(2)for aeroplanes that have a maximum approved passenger seating configuration of more than 19, a floor proximity emergency escape path marking provides emergency evacuation guidance for passengers when all sources of illumination more than 1.22 m (4 feet) above the cabin aisle floor are totally obscured. In the dark of the night, the floor proximity emergency escape path marking enables each passenger to:
(i)after leaving the passenger seat, visually identify the emergency escape path along the cabin aisle floor to the first exits or pair of exits forward and aft of the seat;
(ii)readily identify each exit from the emergency escape path by reference only to markings and visual features not more than 1.22 m (4 feet) above the cabin floor.
(b)Except for lights forming part of the emergency lighting subsystems provided in compliance with Part CAT.IDE.A.275 (b)(4) and (5) that serve no more than one assist means, are independent of the aeroplane’s main emergency lighting systems, and are automatically activated when the assist means is deployed, each light required for interior and exterior emergency lighting:
(1)is operable manually both from the flight crew station and for aeroplanes on which a cabin crew member is required, from a point in the passenger compartment that is readily accessible from a normal cabin crew seat;
(2)has a means to prevent inadvertent operation of the manual controls;
(3)when armed or turned on at either station, remains lighted or becomes lighted upon interruption of the aeroplane’s normal electric power;
(4)provides the required level of illumination for at least 10 minutes at the critical ambient conditions after emergency landing;
(5)has a cockpit control device that has an ‘on’, ‘off’, and ‘armed’ position.
(c)In addition to subparagraphs (a), and (b) above, for an aeroplane which had its initial Certificate of Airworthiness issued prior to 1 December 2006, the following conditions are met:
(1)For an aeroplane for which the application for the type certificate was filed prior to 1 May 1972:
(i)Each passenger emergency exit marking and each locating sign has white letters at least 25 mm (1 inch) high on a red background at least 5 cm (2 inches) high. These signs may be internally electrically illuminated, or self-illuminated by other than electrical means, with an initial brightness of at least 0.509 cd/m2 (160 microlamberts). The colours may be reversed in the case of internally electrically illuminated signs if this will increase the illumination of the exit. On these aeroplanes, no sign may continue to be used if its luminescence (brightness) decreases to below 0.318 cd/m2 (100 microlamberts).
(ii)The sources of general cabin illumination provides enough general lighting in the passenger cabin so that the average illumination when measured at 102 cm (40-inch) intervals at seat armrest height, on the centreline of the main passenger aisle, is at least 0.54 lux (0.05 foot-candle).
(iii)The floor of the passageway leading to each floor level passenger emergency exit, between the main aisles and the exit openings is provided with illumination.
(2)For an aeroplane for which the application for the type certificate was filed on or after 1 May 1972, the interior emergency lighting specifications under which the aeroplane was type certificated. On these aeroplanes, no sign may continue to be used if its luminescence (brightness) decreases to below 0.796 cd/m2 (250 microlamberts).
(d)In addition to subparagraphs (a) and (b) above, for an aeroplane which had its initial Certificate of Airworthiness issued on or after 1 December 2006, and for which the application for the type certificate was filed prior to 1 May 1972, the following conditions are met:
(1)For an aeroplane that has a passenger seating configuration, excluding pilot seats, of:
(i)10 seats or more, each passenger emergency exit locator sign and marking sign required by point 26.110(d) of Part-26 has red letters at least 38 mm (1 ½ inches) high on an illuminated white background, and has an area of at least 135 cm2 (21 square inches) excluding the letters. The lighted background-to-letter contrast is at least 10:1. The letter height to stroke-width ratio is not more than 7:1 nor less than 6:1. These signs are internally electrically illuminated with a background brightness of at least 86 cd/m2 (25 foot-lamberts) and a high-to-low background contrast no greater than 3:1. Other passenger emergency exit signs required by point 26.110(d) of Part-26 have red letters at least 38 mm (1 ½ inches) high on a white background having an area of at least 135 cm2 (21 square inches) excluding the letters. These signs are internally, electrically illuminated or self-illuminated by other than electrical means and have an initial brightness of at least 1.27 cd/m2 (400 microlamberts). The colours are reversed in the case of a sign that is self-illuminated by other than electrical means. On these aeroplanes, no sign continues to be used if its luminescence (brightness) decreases to below 0.796 cd/m2 (250 microlamberts).
(ii)9 seats or less, passenger emergency exit signs that are required by point 26.110(d) of Part-26, have red letters at least 25 mm (1 inch) high on a white background at least 5 cm (2 inches) high. These signs may be internally electrically illuminated or self-illuminated by other than electrical means, with an initial brightness of at least 0.509 cd/m2 (160 microlamberts). The colours may be reversed in the case of a sign that is self-illuminated by other than electrical means. On these aeroplanes, no sign continues to be used if its luminescence (brightness) decreases to below 0.318 cd/m2 (100 microlamberts).
(2)General illumination in the passenger cabin is provided so that when measured along the centreline of the main passenger aisle(s), and cross aisle(s) between main aisles, at seat armrest height and at 102 cm (40-inch) intervals, the average illumination is not less than 0.54 lux (0.05 foot-candle) and the illumination at each 102 cm (40-inch) interval is not less than 0.11 lux (0.01 foot-candle). A main passenger aisle is considered to extend along the fuselage from the most forward passenger emergency exit or cabin occupant seat, whichever is farther forward, to the most rearward passenger emergency exit or cabin occupant seat, whichever is farther aft.
(3)The floor of the passageway leading to each floor-level passenger emergency exit, between the main aisles and exit openings, is provided with illumination that is not less than 0.22 lux (0.02 foot-candle) measured along a line that is within 15 cm (six inches) of and parallel to the floor and is centred on the passenger evacuation path.
(e)Each sign required by point 26.120 of Part-26 may use a universal symbolic exit sign. The design of the signs is chosen to provide a consistent set throughout the cabin. (See GM1 26.110(d))
[Issue: 26/2]
[Issue: 26/3]
26.150 Compartment interiors
Regulation (EU) 2015/640
Operators of large aeroplanes used in commercial air transport shall comply with the following:
(a)all materials and equipment used in compartments occupied by the crew or passengers shall demonstrate flammability characteristics compatible with minimising the effects of in-flight fires and the maintenance of survivable conditions in the cabin for a time commensurate with that needed to evacuate the aircraft;
(b)smoking prohibition shall be indicated with placards;
(c)disposal receptacles shall be such that containment of an internal fire is ensured; such receptacles shall be marked to prohibit the disposal of smoking materials.
CS 26.150 Compartment interiors
ED Decision 2020/023/R
Compliance with point 26.150 of Part-26 is demonstrated by complying with CS 25.853 and Appendix F or equivalent, CS 25.853(e) or equivalent and CS 25.791 or equivalent or with the following:
For each compartment occupied by the crew or passengers the following apply:
(a)Upon any major replacement of any individual group of components as specified in Appendix F, Part I, sub-paragraph (a)(1)(i), such as interior ceiling panels, wall panels, etc., this individual group of components complies with Appendix F, Part I, of this CS-26. (See GM1 26.150(a))
(b)Seat cushions, except those on flight crew member seats, on large aeroplanes, type certificated after 1 January 1958, comply with the fire protection specifications of Appendix F, Part II.
(c)(1)Heat release (other than for lavatory interiors or flight deck), for interior ceiling and wall panels (other than lighting lenses), partitions, and the outer surfaces of galleys, large cabinets and stowage compartments (other than underseat stowage compartments and compartments for stowing small items, such as magazines and maps), in large aeroplanes which had their initial Certificate of Airworthiness issued on or after 20 August 1988, but prior to 20 August 1990, and having a MOPSC of more than 19, comply with the heat release rate testing provisions of Appendix F Part IV, except that the total heat release over the first two minutes of sample exposure does not exceed 100 kilowatt-minutes per square metre, and the peak heat release rate does not exceed 100 kilowatts per square metre.
(2)Heat release and smoke density (other than for lavatory interiors or flight deck) for interior ceiling and wall panels (other than lighting lenses), partitions, and the outer surfaces of galleys, large cabinets and stowage compartments (other than underseat stowage compartments and compartments for stowing small items, such as magazines and maps), in large aeroplanes, having a MOPSC of more than 19, which had their initial Certificate of Airworthiness issued on or after 20 August 1990, comply with the heat release and smoke density specifications of Appendix F Parts IV and V. (See GM1 26.150(c))
(d)Large aeroplanes having a MOPSC of more than 19, Type Certificated after 1 January 1958 upon the first substantially complete replacement of the cabin interior components, (i.e. interior ceiling and wall panels (other than lighting lenses), partitions, and the outer surfaces of galleys, large cabinets and stowage compartments (other than underseat stowage compartments and compartments for stowing small items, such as magazines and maps)), comply with the heat release and smoke density specifications of Appendix F Parts IV and V. (See GM1 26.150(d))
(e)Smoking prohibition is indicated by a placard so stating.
(f)Each disposal receptacle for towels, paper or waste is fully enclosed and constructed of materials adequate in resistance to fire such that any fire likely to occur in it under normal use is contained. The ability of the disposal receptacle to contain those fires under all probable conditions of wear, misalignment, and ventilation expected in service is demonstrated by test unless appropriate maintenance tasks are put in place to ensure that excess wear or misalignment are quickly repaired. A placard containing the legible words or symbology indicating ‘No Cigarette Disposal’ is located on or near each disposal receptacle door.
[Issue: 26/2]
[Issue: 26/3]
GM1 26.150(a) Compartment interiors
ED Decision 2015/013/R
‘Major Replacement’: More than 50% of any component types affected in the cabin are replaced. For example, 51% of the sidewall panels, or 51% of the ceiling panels.
GM1 26.150(c) Compartment interiors
ED Decision 2015/013/R
Galley carts and containers are considered as ‘open galley surfaces’ and therefore are subject to the same requirements as galleys in this respect, namely CS 26.150(c). However, because of the rotatable nature of these components, and their limited lifespan, it is permissible to use galley carts and containers manufactured prior to 20/08/1990.
GM1 26.150(d) Compartment interiors
ED Decision 2015/013/R
‘Complete Replacement’: All of the affected components in the cabin are replaced. Whether the other components that are not affected are replaced is not relevant.
1The qualifying word ‘substantially’ may be used to avoid operators avoiding compliance by not replacing a minor, inconsequential cabin component and stating that there had not been a ‘complete replacement’.
2The definition does, therefore, permit individual replacement of cabin interior components without the mandatory replacement of all components at the same time. It should also be noted that removing components for refinishing and reinstalling them in the same aeroplane, or in a different aeroplane not subject to more stringent requirements, is considered ‘refurbishment’ and not ‘replacement’.
26.155 Flammability of cargo compartment liners
Regulation (EU) 2015/640
Operators of large aeroplanes used in commercial air transport, type certified after 1 January 1958, shall ensure that the liners of Class C or Class D cargo compartments are constructed of materials that adequately prevent the effects of a fire in the compartment from endangering the aircraft or its occupants.
CS 26.155 Flammability of cargo compartment liners
ED Decision 2020/023/R
Compliance with point 26.155 of Part-26 is demonstrated by complying with CS 25.855 & Appendix F Part III, or equivalent or with the following:
(a)Large aeroplanes, Type Certificated after 1 January 1958, with Class C or D compartment, greater than 5.66 m3 (200 cubic feet) have ceiling and sidewall liner panels which are constructed of:
(1)glass fibre reinforced resin, or
(2)materials which meet the flame penetration test specifications of Appendix F Part III, or other equivalent methods, or
(3)aluminium (only in the case of aluminium liner installations approved prior to 1 July 1989).
(b)For compliance with this paragraph, the term ‘liner’ includes any design features, such as a joint or fastener which would affect the capability of the liner to safely contain a fire.
[Issue: 26/2]
[Issue: 26/3]
26.156 Thermal or acoustic insulation materials
Regulation (EU) 2024/2954
Operators of large aeroplanes that are used in commercial air transport, and that were type certified on or after 1 January 1958, shall ensure that:
(a)for large aeroplanes for which the first individual certificate of airworthiness was issued before 18 February 2021, when new thermal or acoustic insulation materials are installed as replacements on or after 18 February 2021, those new materials have flame propagation resistance characteristics which prevent or reduce the risk of flame propagation in the aeroplane;
(b)for large aeroplanes for which the first individual certificate of airworthiness was issued on or after 18 February 2021, thermal and acoustic insulation materials have flame propagation resistance characteristics which prevent or reduce the risk of flame propagation in the aeroplane;
(c)for large aeroplanes for which the first individual certificate of airworthiness was issued on or after 18 February 2021 and with a passenger capacity of 20 or more, thermal and acoustic insulation materials (including the means of fastening the materials to the fuselage) installed in the lower half of the aeroplane have flame penetration resistance characteristics which prevent or reduce the risk of flame penetration into the aeroplane after an accident and which ensure survivable conditions in the cabin for the time needed to evacuate the aeroplane.
CS 26.156 Thermal/acoustic insulation materials
ED Decision 2020/023/R
(a)Compliance with point 26.156(a) of Part-26 is demonstrated by complying with CS 25.856(a), or its equivalent.
(b)Compliance with point 26.156(b) of Part-26 is demonstrated by complying with CS 25.856(a), or its equivalent.
(c)Compliance with point 26.156(c) of Part-26 is demonstrated by complying with CS 25.856(b), or its equivalent.
[Issue: 26/2]
[Issue: 26/3]
GM1 26.156(a) Insulation materials installed as replacement
ED Decision 2020/023/R
The requirement of point 26.156(a) of Part-26 is applicable to insulation materials which are:
1.of a blanket construction, or
2.installed around air ducting
[Issue: 26/2]
[Issue: 26/3]
26.157 Conversion of Class D compartments
Regulation (EU) 2024/2954
Operators of large aeroplanes that are used in commercial air transport, and that were type certified on or after 1 January 1958, shall ensure that:
(a)for large aeroplanes, the operation of which involves the transport of passengers, each Class D cargo or baggage compartment, regardless of its volume, complies with the certification specifications applicable to a Class C compartment;
(b)for large aeroplanes, the operation of which involves the transport of cargo only, each Class D cargo compartment, regardless of its volume, complies with the certification specifications applicable to either a Class C or a Class E compartment;
This point shall not apply to operators of an aeroplane model listed in Table A.1 of Appendix 1 to this Annex.
CS 26.157 Conversion of Class D compartments
ED Decision 2020/023/R
(a)Compliance with point 26.157(a) of Part-26 is demonstrated by showing compliance with CS 25.857(c) and CS 25.858, or the equivalent.
(b)Compliance with point 26.157(b) of Part-26 is demonstrated by showing compliance with:
(1)either CS 25.857(c) and CS 25.858, or the equivalent; or
(2)CS 25.857(e) and CS 25.858, or the equivalent.
[Issue: 26/3]
26.160 Lavatory fire protection
Regulation (EU) 2015/640
Operators of large aeroplanes used in commercial air transport with a maximum operational passenger seating configuration of more than 19 shall comply with the following:
Lavatories shall be equipped with:
(a)smoke detection means;
(b)means to automatically extinguish a fire occurring in each disposal receptacle.
CS 26.160 Lavatory fire protection
ED Decision 2020/023/R
Compliance with point 26.160 of Part-26 is demonstrated by complying with CS 25.854, or equivalent or with the following:
(a)Each lavatory is equipped with a smoke detector system or equivalent that provides a warning light in the cockpit, or provides a warning light or audible warning in the passenger cabin that would be readily detected by a cabin crew member; and
(b)Each lavatory is equipped with a built-in fire extinguisher for each disposal receptacle for towels, paper, or waste, located within the lavatory. The extinguisher is designed to discharge automatically into each disposal receptacle upon occurrence of a fire in that receptacle.
[Issue: 26/3]
26.170 Fire extinguishers
Regulation (EU) 2019/133
Operators of large aeroplanes shall ensure that the following extinguishers do not use halon as an extinguishing agent:
(a)built-in fire extinguishers for each lavatory waste receptacle for towels, paper or waste in large aeroplanes for which the first individual certificate of airworthiness is issued on or after 18 February 2020;
(b)portable fire extinguishers in large aeroplanes for which the first individual certificate of airworthiness is issued on or after 18 May 2019.
CS 26.170 Fire extinguishers
ED Decision 2020/023/R
Compliance with point 26.170 of Part-26 is demonstrated by complying with the following (see also GM1 26.170(b)):
(a)the extinguishing agent that is used in a built-in fire extinguisher for a lavatory waste receptacle or in a portable fire extinguisher for cabins and crew compartments must not be one of the agents that are listed in Annex A — Group II: Halons (halon 1211, halon 1301, and halon 2402) of ‘The Montreal Protocol on Substances that Deplete the Ozone Layer’, 8th Edition, 2009;
(b)the agent in any fire extinguisher must be acceptable, and be of a kind and in a quantity that is appropriate for the kinds of fire that are likely to occur in the compartment where the extinguisher is intended to be used;
(c)any agent that is used in a personnel compartment or that is likely to enter a personnel compartment must be selected to minimise the hazard of a toxic gas concentration; and
(d)a discharge of the extinguisher must not cause any structural damage.
[Issue: 26/2]
[Issue: 26/3]
GM1 26.170(b) Fire extinguishers
ED Decision 2019/006/R
1LAVATORY FIRE EXTINGUISHERS
Appendix D to Report DOT/FAA/AR-96/122 ‘Development of a Minimum Performance Standard for Lavatory Trash Receptacle Automatic Fire Extinguishers’ of February 1997 may be used for showing compliance with CS 26.170(b).
General guidance on the alternative extinguishing agents that are considered to be acceptable can be found in AMC 25.851(c).
2HANDHELD FIRE EXTINGUISHERS
Society of Automotive Engineers (SAE) Aerospace Standard (AS) 6271 ‘Halocarbon Clean Agent Hand-Held Fire Extinguisher’ or European Technical Standard Order (ETSO) 2C515 ‘Aircraft Halocarbon Clean Agent — Handheld Fire Extinguisher’ may be used for showing compliance with CS 26.170(b).
General guidance on the alternative extinguishing agents that are considered to be acceptable can be found in AMC 25.851(c).
[Issue: 26/2]
26.175 Cargo compartment fire protection
Regulation (EU) 2024/2954
(a)For large aeroplanes, as well as for small aeroplanes with a maximum take-off weight (MTOW) greater than 5 700 kg (12 500 lb), for which the individual certificate of airworthiness is first issued on or after 1 January 2025, the holders of:
TC or restricted TC, or
STC or design change approvals, if the change relates to the aeroplane cargo compartment fire protection capabilities,
shall make available information on the aeroplane design characteristics associated with the cargo compartment fire protection capabilities to all known operators of such aeroplanes.
(b)For small aeroplanes with a MTOW of 5 700 kg (12 500 lb) or less and equipped with at least one cargo compartment separated from the flight deck, and for which the individual certificate of airworthiness is first issued on or after 1 January 2025, the holders of:
TC or restricted TC, or
STC or design change approvals, if the change relates to the aeroplane cargo compartment fire protection capabilities,
shall make available information on the aeroplane design characteristics associated with the cargo compartment fire protection capabilities for all cargo compartments that are separated from the flight deck to all known operators of such aeroplanes.
(c)The information made available in accordance with points (a) and (b) shall be sufficiently detailed to support operators when conducting a risk assessment for the transportation of goods in the cargo compartment.
The information shall be contained in appropriate aeroplane documentation made available to operators and easily identifiable by the operators’ personnel responsible for conducting the risk assessment.
(d)The design approval holder, who is required to make available the information in accordance with point (a) or (b), shall also make available changes to this information to all known operators of the aeroplanes affected by the change.
CS 26.175 Cargo compartment fire protection
ED Decision 2024/010/R
(a)For large aeroplanes referred to in point 26.175(a) of Part26, compliance with point 26.175 is demonstrated by providing:
(1)the reference to the cargo compartment classification in accordance with CS 25.857;
(2)relevant information on the aeroplane design characteristics associated with the cargo compartment fire protection capabilities for which the certificate or design change approval holders had to demonstrate compliance with the certification specifications in the section ‘fire protection’ of Subpart D of CS25 or equivalent, as established in the certification basis, and the related acceptable means of compliance;
(3)the reference to the demonstrated specifications established in the certification basis.
(b)For small aeroplanes referred to in points 26.175(a) and (b) of Part26, compliance with point 26.175 is demonstrated by providing:
(1)relevant information on the aeroplane design characteristics associated with the cargo compartment fire protection capabilities for which the certificate or design change approval holders had to demonstrate compliance with the certification specifications in the section ‘fire protection’ of Subpart D of CS23 up to Amendment 4 or the section ‘fire and high energy protection’ of Subpart D of CS23 as from Amendment 5 or equivalent, as established in the certification basis, and the related acceptable means of compliance;
(2)the reference to the demonstrated specifications established in the certification basis.
[Issue: 26/5]
GM1 26.175 Cargo compartment fire protection
ED Decision 2024/010/R
INFORMATION ON AEROPLANE DESIGN CHARACTERISTICS ASSOCIATED WITH CARGO COMPARTMENT FIRE PROTECTION CAPABILITIES
(a)The list below provides examples of the elements of information that may be made available to all known operators. Some of the examples may not apply since they depend on the aeroplane type and on the class of the cargo compartment. As deemed necessary, further detailed information may be included.
cargo compartment characteristics, e.g.:
•location
•accessibility
•available volume
smoke and fire detection systems’ features and capabilities, e.g.:
•fire detection temperature
•class of fire used to assess the ability of the smoke detector
fire-extinguishing, suppression and control systems’ features and capabilities, e.g.:
•location
•quantity
•handheld or built-in fire extinguisher
•type and quantity of fire-extinguishing agents
•fire suppression capability
ventilation control systems’ features, e.g. shut-off capability during a fire event
cargo compartment, floor, ceiling and sidewall liner panels’ features and capability, e.g.:
•material
•fire-resistance characteristics
means to exclude hazardous quantities of smoke, flames or noxious gases from other compartments, e.g. air conditioning
(b)Further guidance can be found in ICAO Doc 10102 ‘Guidance for Safe Operations Involving Aeroplane Cargo Compartments’.
[Issue: 26/5]
26.200 Landing gear aural warning
Regulation (EU) 2015/640
Operators of large aeroplanes used in commercial air transport shall ensure that an appropriate landing gear aural warning device is installed in order to significantly reduce the likelihood of landings with landing gear inadvertently retracted.
CS 26.200 Landing gear aural warning
ED Decision 2020/023/R
Compliance with point 26.200 of Part-26 is demonstrated by complying with CS 25.729, or equivalent or with the following:
(a)Large aeroplanes have a landing gear aural warning device that functions continuously under the following conditions:
(1)For aeroplanes with an established approach flap position, whenever the flaps are extended beyond the maximum certificated approach climb configuration position in the Aeroplane Flight Manual and the landing gear is not fully extended and locked.
(2)For aeroplanes without an established approach climb flap position, whenever the flaps are extended beyond the position at which landing gear extension is normally performed and the landing gear is not fully extended and locked.
(b)The warning system of sub-paragraph (a) of this paragraph:
(1)does not have a manual shut-off means readily available to the flight crew such that it could be operated instinctively, inadvertently or by habitual reflexive action;
(2)is, in addition to the throttle-actuated device, installed under the airworthiness type certification specifications; and
(3)may utilise any part of the throttle-actuated system, including the aural warning device.
(c)The flap position sensing unit may be installed at any suitable place in the aeroplane.
[Issue: 26/3]
26.201 Tyre inflation pressure
Regulation (EU) 2022/1254
Operators of large aeroplanes shall minimise the risk of a tyre being below its minimum serviceable inflation pressure during operation.
CS 26.201 Tyre inflation pressure
ED Decision 2022/019/R
Compliance with point 26.201 of Part-26 is demonstrated by complying with CS 25.733(f) of CS-25 or its equivalent, or with the following:
(a)‘Minimum serviceable inflation pressure’ means a tyre inflation pressure specified by the aeroplane type certificate holder below which damage to the tyre, potentially leading to a tyre failure, may occur.
(b)The operator ensures that one, or a combination, of the following means is (are) used:
(1) A task is incorporated in the aeroplane maintenance programme (AMP) that requires tyres inflation pressure checks to be performed at a suitable time interval.
(2) The aeroplane is equipped with an installed system that monitors the tyres inflation pressures and that:
(i)provides an alert to the flight crew whenever a tyre inflation pressure is below the minimum serviceable inflation pressure, or
(ii) allows the tyres inflation pressures to be checked prior to the dispatch of the aeroplane, and a tyre inflation pressure check task is included in the pre-flight procedures of the operations manual.
(c)Tyre inflation pressure checks in the AMP
A ‘suitable time interval’ is the maximum time interval between two consecutive tyre inflation pressure checks.
These pressure checks are conducted daily in order to ensure that the elapsed clock time between two consecutive tyre inflation pressure checks does not exceed 48 hours.
Time intervals longer than 48 hours may be used if they are substantiated and agreed by the competent authority. This substantiation includes at least an analysis of the expected loss of tyre pressure during operation, taking into account environmental and operational factors, including the potential for pressure loss at a rate that exceeds the normal diffusion resulting from damage to or degradation of the tyre/wheel assembly. If available, statistical data related to pressure losses gathered from the service experience of aeroplanes equipped with equivalent wheel designs may also be used. The substantiation is made in cooperation with the tyre manufacturer(s). In addition, the operator may take credit from an installed system monitoring the tyre inflation pressures.
The time interval does not exceed the applicable value provided by the type certificate holder in the instructions for continued airworthiness.
(d)Tyre pressure monitoring system
If a tyre pressure monitoring system is installed, its development assurance level is commensurate with the potential consequences of an alert not being provided, as well as with the consequences of false alerts. If the system includes the indication of tyre pressure levels, the consequences of a false indication are also taken into account. The assessment of these consequences includes the effects of the failure of one or more tyres (including simultaneous tyre failures) that may be caused by the operation of the aeroplane with under-inflated tyres.
Tasks are included as necessary in the AMP (taking into account the instructions for continued airworthiness provided by the design approval holder) to ensure that the calibration of the tyre pressure monitoring system is maintained.
[Issue: 26/4]
26.205 Runway overrun awareness and alerting systems
Regulation (EU) 2024/2954
(a)Operators of large aeroplanes used in commercial air transport shall ensure that every large aeroplane for which the first individual certificate of airworthiness is issued on or after 1 July 2026, is equipped with a runway overrun awareness and alerting system.
(b)This system shall be designed in a manner allowing to reduce the risk of a longitudinal runway excursion during landing by providing an alert, in-flight and on the ground, to the flight crew when the aeroplane is at risk of not being able to stop within the available distance to the end of the runway.
CS 26.205 Runway overrun awareness and alerting systems
ED Decision 2020/023/R
Compliance with point 26.205 of Part-26 is demonstrated by showing compliance with CS 25.705, or with the following:
(a)During approach (from a given height above the selected runway) and landing, the runway overrun awareness and alerting system (ROAAS) shall perform real-time energy-based calculations of the predicted landing stopping point, compare that point with the location of the end of the runway, and provide the flight crew with:
(1)in-flight, timely, and unambiguous predictive alert(s) of a runway overrun risk; and
(2)on-ground, timely, and unambiguous predictive alert(s) of a runway overrun risk. At the option of the applicant, the ROAAS may also provide an automated means of deceleration control that prevents or minimises runway overruns during landing.
(b)The ROAAS must at least accommodate dry and wet runway conditions for normal landing configurations.
[Issue: 26/3]
GM1 26.205 Runway overrun awareness and alerting systems
ED Decision 2020/023/R
(a)When demonstrating compliance with CS 26.205, the applicant should take account of EUROCAE Document ED-250 ‘Minimum Operational Performance Standard for a Runway Overrun Awareness and Alerting System’ dated December 2017.
(b)When demonstrating the compliance of the ROAAS with CS 25.1581 and CS 25.1585 or equivalent specifications, the applicant should include in the aeroplane flight manual the following elements:
(1)A description of the runway overrun awareness and alerting system (ROAAS) operational domain, including all the conditions in which the ROAAS is expected to perform its intended function,
(2)Any operational limitations applicable to the ROAAS, and
(3)Operational procedures to be used by the flight crew when ROAAS alerts are triggered.
[Issue: 26/3]
26.250 Flight crew compartment door operating systems — single incapacitation
Regulation (EU) 2015/640
Operators of large aeroplanes used in commercial air transport shall ensure that flight crew compartment door operating systems, where installed, be provided with alternate opening means in order to facilitate access by cabin crew members into the flight crew compartment in the case of a single flight crew member incapacitation.